Номер 5.2, страница 33 - гдз по алгебре 10 класс сборник задач Арефьева, Пирютко

Алгебра, 10 класс Сборник задач, авторы: Арефьева Ирина Глебовна, Пирютко Ольга Николаевна, издательство Народная асвета, Минск, 2020, белого цвета

Авторы: Арефьева И. Г., Пирютко О. Н.

Тип: Сборник задач

Издательство: Народная асвета

Год издания: 2020 - 2026

Уровень обучения: базовый и повышенный

Цвет обложки: белый, голубой с графиком

Допущено Министерством образования Республики Беларусь

Глава 2. Многочлены. Параграф 5. Многочлены - номер 5.2, страница 33.

№5.2 (с. 33)
Условие. №5.2 (с. 33)
скриншот условия
Алгебра, 10 класс Сборник задач, авторы: Арефьева Ирина Глебовна, Пирютко Ольга Николаевна, издательство Народная асвета, Минск, 2020, белого цвета, страница 33, номер 5.2, Условие

5.2. Найдите остатки от деления многочлена $P(x)$ на $x$; $x + 1$; $x - 5$; $3x + 2: $

а) $P(x) = x^2 - 5x + 4;$

б) $P(x) = x^3 - 7x^2 + 2x + 1;$

в) $P(x) = x^4 + 2x^2 - 3x - 7;$

г) $P(x) = x^6 - 2x^5 + 3x^4 - x^3 - x^2 - 2x + 1.$

Решение. №5.2 (с. 33)
Алгебра, 10 класс Сборник задач, авторы: Арефьева Ирина Глебовна, Пирютко Ольга Николаевна, издательство Народная асвета, Минск, 2020, белого цвета, страница 33, номер 5.2, Решение Алгебра, 10 класс Сборник задач, авторы: Арефьева Ирина Глебовна, Пирютко Ольга Николаевна, издательство Народная асвета, Минск, 2020, белого цвета, страница 33, номер 5.2, Решение (продолжение 2)
Решение 2. №5.2 (с. 33)

Для нахождения остатка от деления многочлена $P(x)$ на линейный двучлен $(x-a)$ используется следствие из теоремы Безу, которое утверждает, что остаток равен значению многочлена в точке $a$, то есть $R = P(a)$.

Для каждого многочлена $P(x)$ найдем остатки от деления на $x$, $x+1$, $x-5$ и $3x+2$. Корни этих делителей равны $0$, $-1$, $5$ и $-\frac{2}{3}$ соответственно.

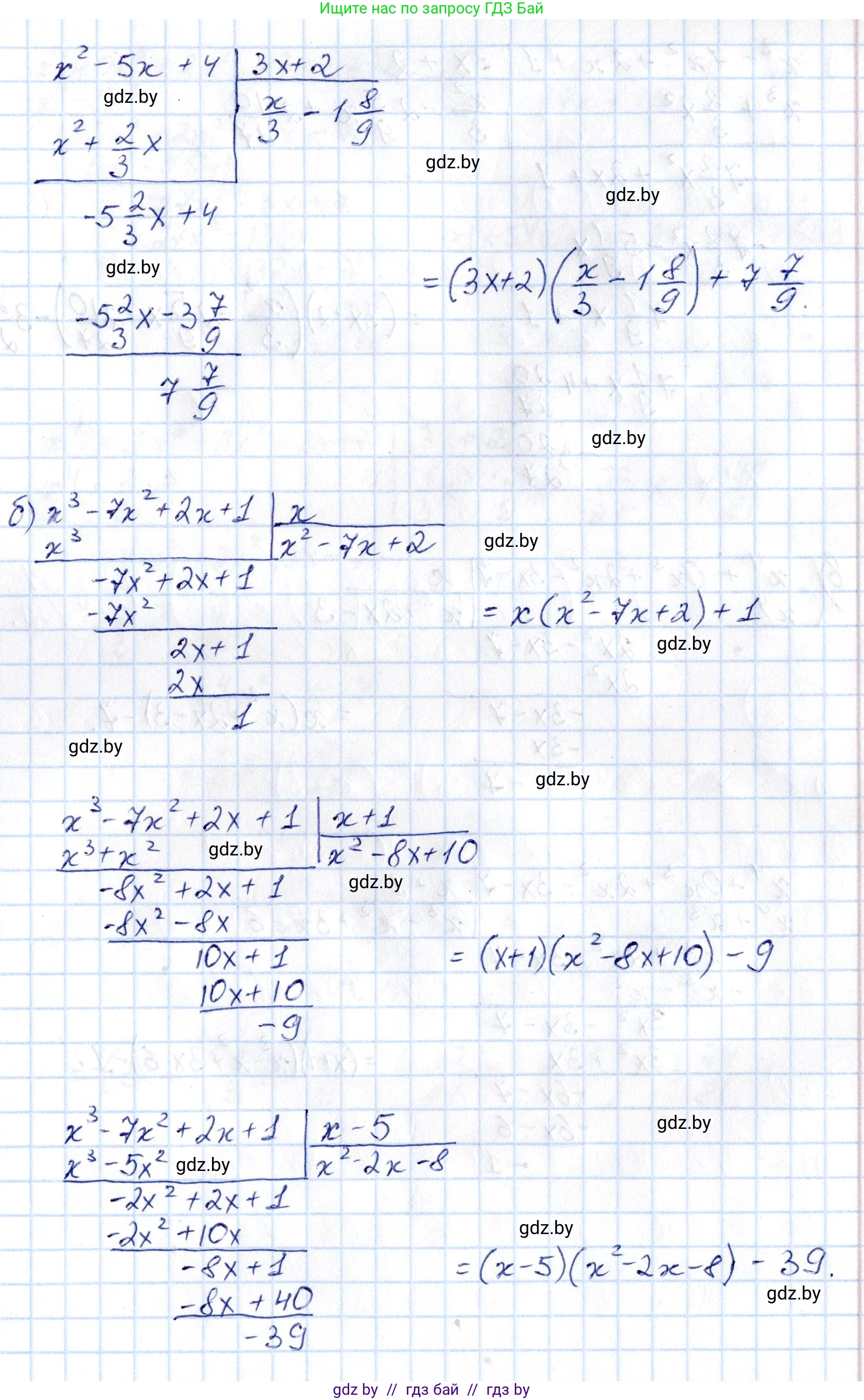
а) Для многочлена $P(x) = x^2 - 5x + 4$:

  • При делении на $x$ (корень $x=0$):
    $R = P(0) = 0^2 - 5(0) + 4 = 4$.
    Ответ: 4
  • При делении на $x+1$ (корень $x=-1$):
    $R = P(-1) = (-1)^2 - 5(-1) + 4 = 1 + 5 + 4 = 10$.
    Ответ: 10
  • При делении на $x-5$ (корень $x=5$):
    $R = P(5) = 5^2 - 5(5) + 4 = 25 - 25 + 4 = 4$.
    Ответ: 4
  • При делении на $3x+2$ (корень $x=-2/3$):
    $R = P(-\frac{2}{3}) = (-\frac{2}{3})^2 - 5(-\frac{2}{3}) + 4 = \frac{4}{9} + \frac{10}{3} + 4 = \frac{4+30+36}{9} = \frac{70}{9} = 7\frac{7}{9}$.
    Ответ: 7

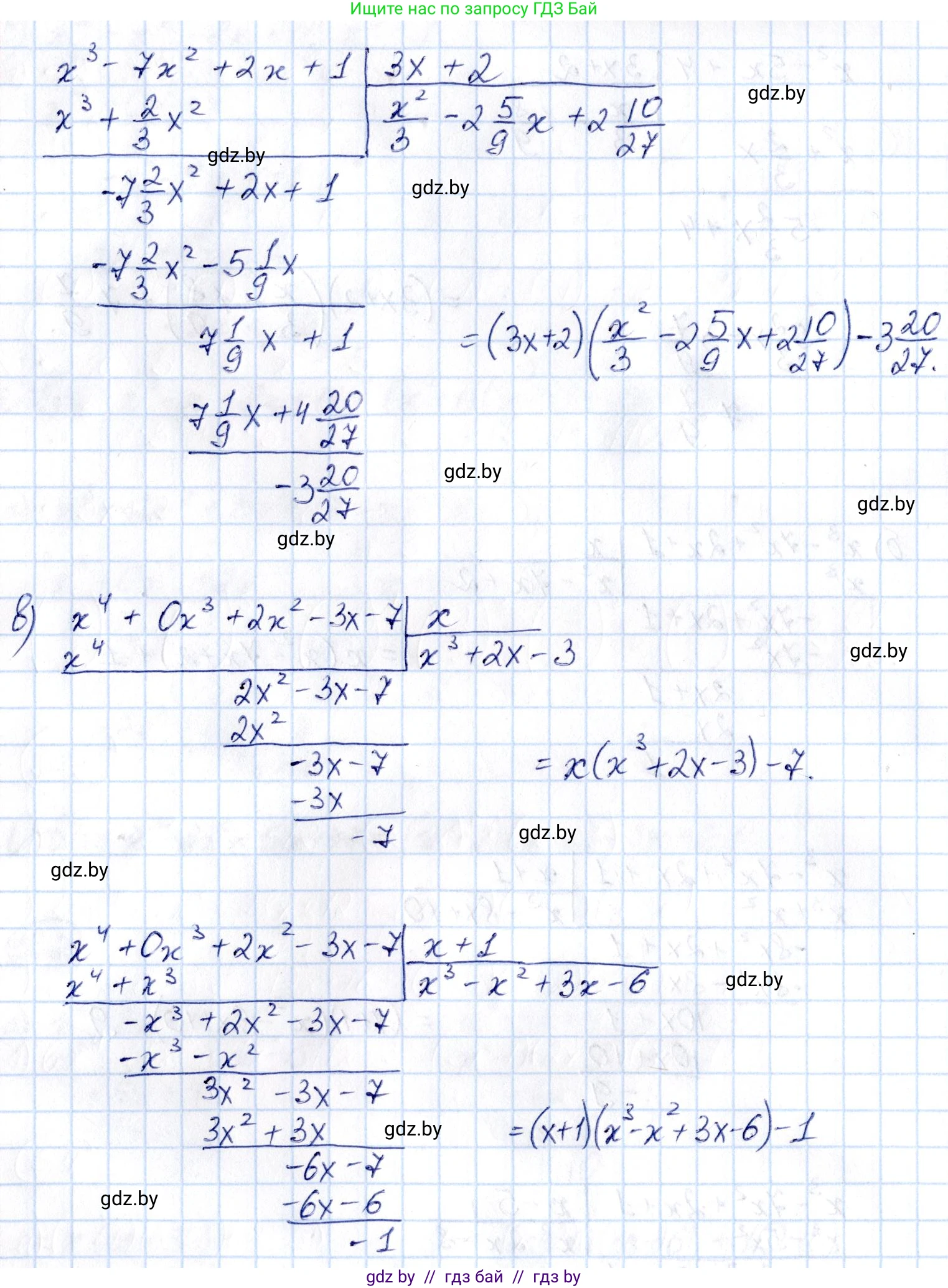
б) Для многочлена $P(x) = x^3 - 7x^2 + 2x + 1$:

  • При делении на $x$ (корень $x=0$):
    $R = P(0) = 0^3 - 7(0)^2 + 2(0) + 1 = 1$.
    Ответ: 1
  • При делении на $x+1$ (корень $x=-1$):
    $R = P(-1) = (-1)^3 - 7(-1)^2 + 2(-1) + 1 = -1 - 7 - 2 + 1 = -9$.
    Ответ: -9
  • При делении на $x-5$ (корень $x=5$):
    $R = P(5) = 5^3 - 7(5)^2 + 2(5) + 1 = 125 - 175 + 10 + 1 = -39$.
    Ответ: -39
  • При делении на $3x+2$ (корень $x=-2/3$):
    $R = P(-\frac{2}{3}) = (-\frac{2}{3})^3 - 7(-\frac{2}{3})^2 + 2(-\frac{2}{3}) + 1 = -\frac{8}{27} - \frac{28}{9} - \frac{4}{3} + 1 = \frac{-8 - 84 - 36 + 27}{27} = -\frac{101}{27}$.
    Целая часть числа $-\frac{101}{27} \approx -3.74$ равна $\lfloor -3.74 \rfloor = -4$.
    Ответ: -4

в) Для многочлена $P(x) = x^4 + 2x^2 - 3x - 7$:

  • При делении на $x$ (корень $x=0$):
    $R = P(0) = 0^4 + 2(0)^2 - 3(0) - 7 = -7$.
    Ответ: -7
  • При делении на $x+1$ (корень $x=-1$):
    $R = P(-1) = (-1)^4 + 2(-1)^2 - 3(-1) - 7 = 1 + 2 + 3 - 7 = -1$.
    Ответ: -1
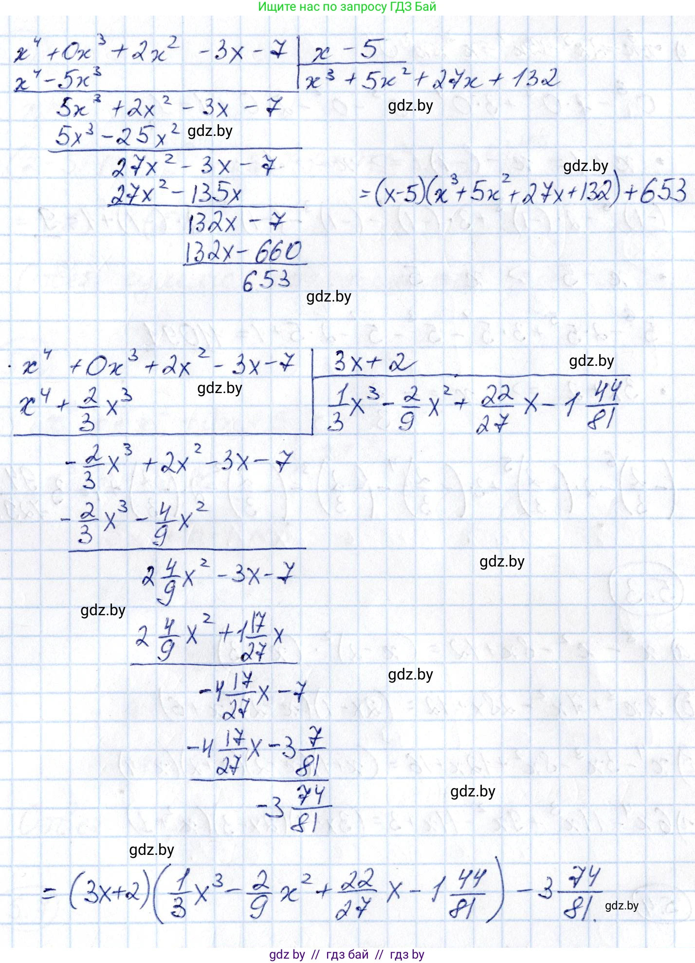
  • При делении на $x-5$ (корень $x=5$):
    $R = P(5) = 5^4 + 2(5)^2 - 3(5) - 7 = 625 + 50 - 15 - 7 = 653$.
    Ответ: 653
  • При делении на $3x+2$ (корень $x=-2/3$):
    $R = P(-\frac{2}{3}) = (-\frac{2}{3})^4 + 2(-\frac{2}{3})^2 - 3(-\frac{2}{3}) - 7 = \frac{16}{81} + \frac{8}{9} + 2 - 7 = \frac{16 + 72 - 405}{81} = -\frac{317}{81}$.
    Целая часть числа $-\frac{317}{81} \approx -3.91$ равна $\lfloor -3.91 \rfloor = -4$.
    Ответ: -4

г) Для многочлена $P(x) = x^6 - 2x^5 + 3x^4 - x^3 - x^2 - 2x + 1$:

  • При делении на $x$ (корень $x=0$):
    $R = P(0) = 1$.
    Ответ: 1
  • При делении на $x+1$ (корень $x=-1$):
    $R = P(-1) = (-1)^6 - 2(-1)^5 + 3(-1)^4 - (-1)^3 - (-1)^2 - 2(-1) + 1 = 1 + 2 + 3 + 1 - 1 + 2 + 1 = 9$.
    Ответ: 9
  • При делении на $x-5$ (корень $x=5$):
    $R = P(5) = 5^6 - 2(5^5) + 3(5^4) - 5^3 - 5^2 - 2(5) + 1 = 15625 - 2(3125) + 3(625) - 125 - 25 - 10 + 1 = 15625 - 6250 + 1875 - 125 - 25 - 10 + 1 = 11091$.
    Ответ: 11091
  • При делении на $3x+2$ (корень $x=-2/3$):
    $R = P(-\frac{2}{3}) = (\frac{-2}{3})^6 - 2(\frac{-2}{3})^5 + 3(\frac{-2}{3})^4 - (\frac{-2}{3})^3 - (\frac{-2}{3})^2 - 2(\frac{-2}{3}) + 1 = \frac{64}{729} + \frac{64}{243} + \frac{48}{81} + \frac{8}{27} - \frac{4}{9} + \frac{4}{3} + 1 = \frac{64 + 192 + 432 + 216 - 324 + 972 + 729}{729} = \frac{2281}{729} = 3\frac{94}{729}$.
    Ответ: 3

Помогло решение? Оставьте отзыв в комментариях ниже.

Присоединяйтесь к Телеграм-группе @gdz_by_belarus

Присоединиться

Мы подготовили для вас ответ c подробным объяснением домашего задания по алгебре за 10 класс, для упражнения номер 5.2 расположенного на странице 33 к сборнику задач 2020 года издания для учащихся школ и гимназий.

Теперь на нашем сайте ГДЗ.ТОП вы всегда легко и бесплатно найдёте условие с правильным ответом на вопрос «Как решить ДЗ» и «Как сделать» задание по алгебре к упражнению №5.2 (с. 33), авторов: Арефьева (Ирина Глебовна), Пирютко (Ольга Николаевна), базовый и повышенный уровень обучения учебного пособия издательства Народная асвета.