Номер 11.12, страница 57 - гдз по алгебре 10 класс сборник задач Арефьева, Пирютко

Алгебра, 10 класс Сборник задач, авторы: Арефьева Ирина Глебовна, Пирютко Ольга Николаевна, издательство Народная асвета, Минск, 2020, белого цвета

Авторы: Арефьева И. Г., Пирютко О. Н.

Тип: Сборник задач

Издательство: Народная асвета

Год издания: 2020 - 2026

Уровень обучения: базовый и повышенный

Цвет обложки: белый, голубой с графиком

Допущено Министерством образования Республики Беларусь

Глава 3. Тригонометрия. Параграф 11. Функции y=tg(х) и y=сtg(х). Их свойства и графики - номер 11.12, страница 57.

№11.12 (с. 57)
Условие. №11.12 (с. 57)
скриншот условия
Алгебра, 10 класс Сборник задач, авторы: Арефьева Ирина Глебовна, Пирютко Ольга Николаевна, издательство Народная асвета, Минск, 2020, белого цвета, страница 57, номер 11.12, Условие

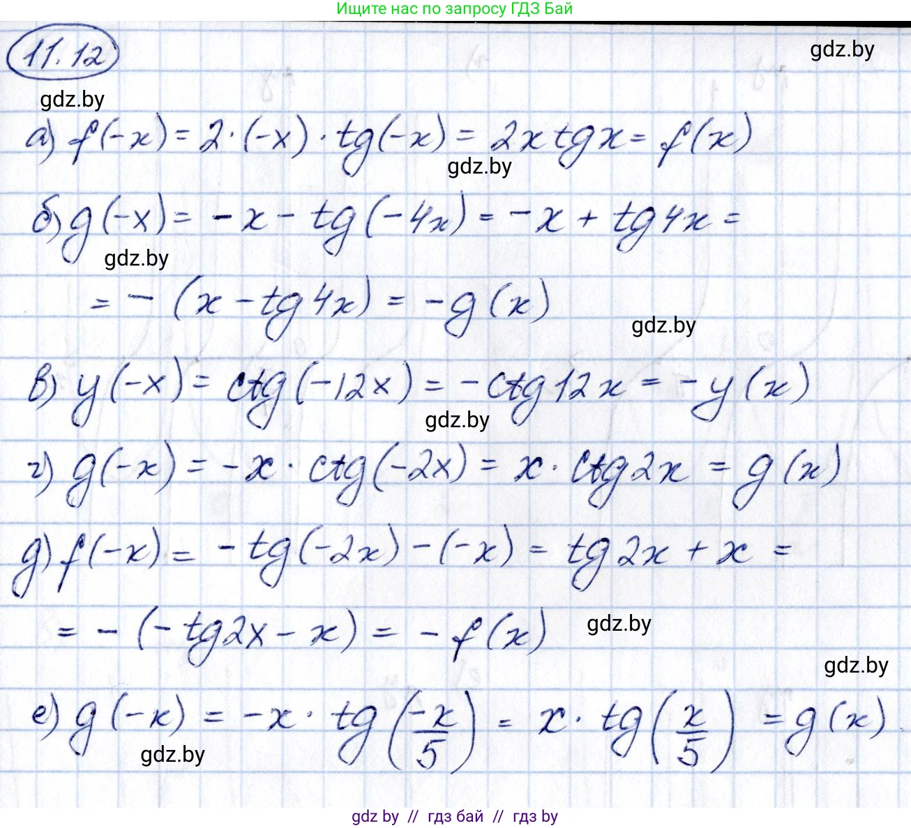
11.12. Исследуйте функцию на четность (нечетность):

а) $f(x)=2x\text{tg}x;$

б) $g(x)=x-\text{tg}4x;$

в) $y=\text{ctg}12x;$

г) $g(x)=x \cdot \text{ctg}2x;$

д) $f(x)=-\text{tg}2x-x;$

е) $g(x)=x\text{tg}\frac{x}{5}.$

Решение. №11.12 (с. 57)
Алгебра, 10 класс Сборник задач, авторы: Арефьева Ирина Глебовна, Пирютко Ольга Николаевна, издательство Народная асвета, Минск, 2020, белого цвета, страница 57, номер 11.12, Решение
Решение 2. №11.12 (с. 57)

Для исследования функции на четность необходимо проверить два условия:

  1. Симметричность области определения $D(f)$ относительно точки $x=0$ (т.е. если $x \in D(f)$, то и $-x \in D(f)$).
  2. Выполнение одного из равенств:
    • $f(-x) = f(x)$ – функция четная.
    • $f(-x) = -f(x)$ – функция нечетная.

Если область определения несимметрична или ни одно из равенств не выполняется, то функция не является ни четной, ни нечетной.

а) Исследуем на четность функцию $f(x) = 2x \text{tg} x$.

Область определения функции $D(f)$ задается условием $\cos x \neq 0$, то есть $x \neq \frac{\pi}{2} + \pi k$, где $k \in \mathbb{Z}$. Эта область определения симметрична относительно начала координат.

Найдем значение функции в точке $-x$:

$f(-x) = 2(-x) \text{tg}(-x)$.

Так как $x$ – нечетная функция, а $\text{tg} x$ – тоже нечетная функция ($\text{tg}(-x) = -\text{tg} x$), то их произведение является четной функцией:

$f(-x) = (-2x) \cdot (-\text{tg} x) = 2x \text{tg} x = f(x)$.

Так как $f(-x) = f(x)$, функция является четной.

Ответ: четная.

б) Исследуем на четность функцию $g(x) = x - \text{tg}(4x)$.

Область определения функции $D(g)$ задается условием $\cos(4x) \neq 0$, то есть $4x \neq \frac{\pi}{2} + \pi k$, или $x \neq \frac{\pi}{8} + \frac{\pi k}{4}$, где $k \in \mathbb{Z}$. Эта область определения симметрична относительно начала координат.

Найдем значение функции в точке $-x$:

$g(-x) = (-x) - \text{tg}(4(-x)) = -x - \text{tg}(-4x)$.

Используя свойство нечетности тангенса $\text{tg}(-u) = -\text{tg}(u)$, получаем:

$g(-x) = -x - (-\text{tg}(4x)) = -x + \text{tg}(4x) = -(x - \text{tg}(4x)) = -g(x)$.

Так как $g(-x) = -g(x)$, функция является нечетной (как разность двух нечетных функций).

Ответ: нечетная.

в) Исследуем на четность функцию $y = \text{ctg}(12x)$. Обозначим ее как $f(x) = \text{ctg}(12x)$.

Область определения функции $D(f)$ задается условием $\sin(12x) \neq 0$, то есть $12x \neq \pi k$, или $x \neq \frac{\pi k}{12}$, где $k \in \mathbb{Z}$. Эта область определения симметрична относительно начала координат.

Найдем значение функции в точке $-x$:

$f(-x) = \text{ctg}(12(-x)) = \text{ctg}(-12x)$.

Используя свойство нечетности котангенса $\text{ctg}(-u) = -\text{ctg}(u)$, получаем:

$f(-x) = -\text{ctg}(12x) = -f(x)$.

Так как $f(-x) = -f(x)$, функция является нечетной.

Ответ: нечетная.

г) Исследуем на четность функцию $g(x) = x \cdot \text{ctg}(2x)$.

Область определения функции $D(g)$ задается условием $\sin(2x) \neq 0$, то есть $2x \neq \pi k$, или $x \neq \frac{\pi k}{2}$, где $k \in \mathbb{Z}$. Эта область определения симметрична относительно начала координат.

Найдем значение функции в точке $-x$:

$g(-x) = (-x) \cdot \text{ctg}(2(-x)) = (-x) \cdot \text{ctg}(-2x)$.

Так как $x$ – нечетная функция, а $\text{ctg}(2x)$ – тоже нечетная функция, их произведение является четной функцией:

$g(-x) = (-x) \cdot (-\text{ctg}(2x)) = x \cdot \text{ctg}(2x) = g(x)$.

Так как $g(-x) = g(x)$, функция является четной.

Ответ: четная.

д) Исследуем на четность функцию $f(x) = -\text{tg}(2x) - x$.

Область определения функции $D(f)$ задается условием $\cos(2x) \neq 0$, то есть $2x \neq \frac{\pi}{2} + \pi k$, или $x \neq \frac{\pi}{4} + \frac{\pi k}{2}$, где $k \in \mathbb{Z}$. Эта область определения симметрична относительно начала координат.

Найдем значение функции в точке $-x$:

$f(-x) = -\text{tg}(2(-x)) - (-x) = -\text{tg}(-2x) + x$.

Используя свойство нечетности тангенса $\text{tg}(-u) = -\text{tg}(u)$, получаем:

$f(-x) = -(-\text{tg}(2x)) + x = \text{tg}(2x) + x$.

Вынесем минус за скобки: $f(x) = -(\text{tg}(2x) + x)$. Тогда $-f(x) = -(-(\text{tg}(2x)+x)) = \text{tg}(2x) + x$.

Сравнивая, получаем $f(-x) = -f(x)$. Следовательно, функция является нечетной.

Ответ: нечетная.

е) Исследуем на четность функцию $g(x) = x \text{tg}(\frac{x}{5})$.

Область определения функции $D(g)$ задается условием $\cos(\frac{x}{5}) \neq 0$, то есть $\frac{x}{5} \neq \frac{\pi}{2} + \pi k$, или $x \neq \frac{5\pi}{2} + 5\pi k$, где $k \in \mathbb{Z}$. Эта область определения симметрична относительно начала координат.

Найдем значение функции в точке $-x$:

$g(-x) = (-x) \text{tg}(\frac{-x}{5}) = (-x) \text{tg}(-\frac{x}{5})$.

Функция $x$ является нечетной. Функция $\text{tg}(\frac{x}{5})$ также является нечетной. Их произведение будет четной функцией:

$g(-x) = (-x) \cdot (-\text{tg}(\frac{x}{5})) = x \text{tg}(\frac{x}{5}) = g(x)$.

Так как $g(-x) = g(x)$, функция является четной.

Ответ: четная.

Помогло решение? Оставьте отзыв в комментариях ниже.

Присоединяйтесь к Телеграм-группе @gdz_by_belarus

Присоединиться

Мы подготовили для вас ответ c подробным объяснением домашего задания по алгебре за 10 класс, для упражнения номер 11.12 расположенного на странице 57 к сборнику задач 2020 года издания для учащихся школ и гимназий.

Теперь на нашем сайте ГДЗ.ТОП вы всегда легко и бесплатно найдёте условие с правильным ответом на вопрос «Как решить ДЗ» и «Как сделать» задание по алгебре к упражнению №11.12 (с. 57), авторов: Арефьева (Ирина Глебовна), Пирютко (Ольга Николаевна), базовый и повышенный уровень обучения учебного пособия издательства Народная асвета.