Номер 11.5, страница 56 - гдз по алгебре 10 класс сборник задач Арефьева, Пирютко

Алгебра, 10 класс Сборник задач, авторы: Арефьева Ирина Глебовна, Пирютко Ольга Николаевна, издательство Народная асвета, Минск, 2020, белого цвета

Авторы: Арефьева И. Г., Пирютко О. Н.

Тип: Сборник задач

Издательство: Народная асвета

Год издания: 2020 - 2026

Уровень обучения: базовый и повышенный

Цвет обложки: белый, голубой с графиком

Допущено Министерством образования Республики Беларусь

Популярные ГДЗ в 10 классе

Глава 3. Тригонометрия. Параграф 11. Функции y=tg(х) и y=сtg(х). Их свойства и графики - номер 11.5, страница 56.

№11.5 (с. 56)
Условие. №11.5 (с. 56)
скриншот условия
Алгебра, 10 класс Сборник задач, авторы: Арефьева Ирина Глебовна, Пирютко Ольга Николаевна, издательство Народная асвета, Минск, 2020, белого цвета, страница 56, номер 11.5, Условие

11.5. Найдите несколько значений аргумента, при которых функция

$y = -\mathrm{tg}\left(x - \frac{\pi}{4}\right)$ принимает значение, равное:

а) 0;

б) -1;

в) $\sqrt{3}$;

г) $-\frac{\sqrt{3}}{3}$.

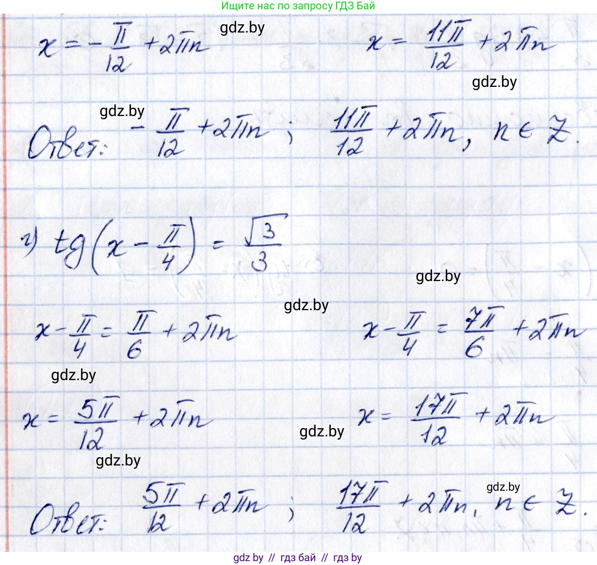
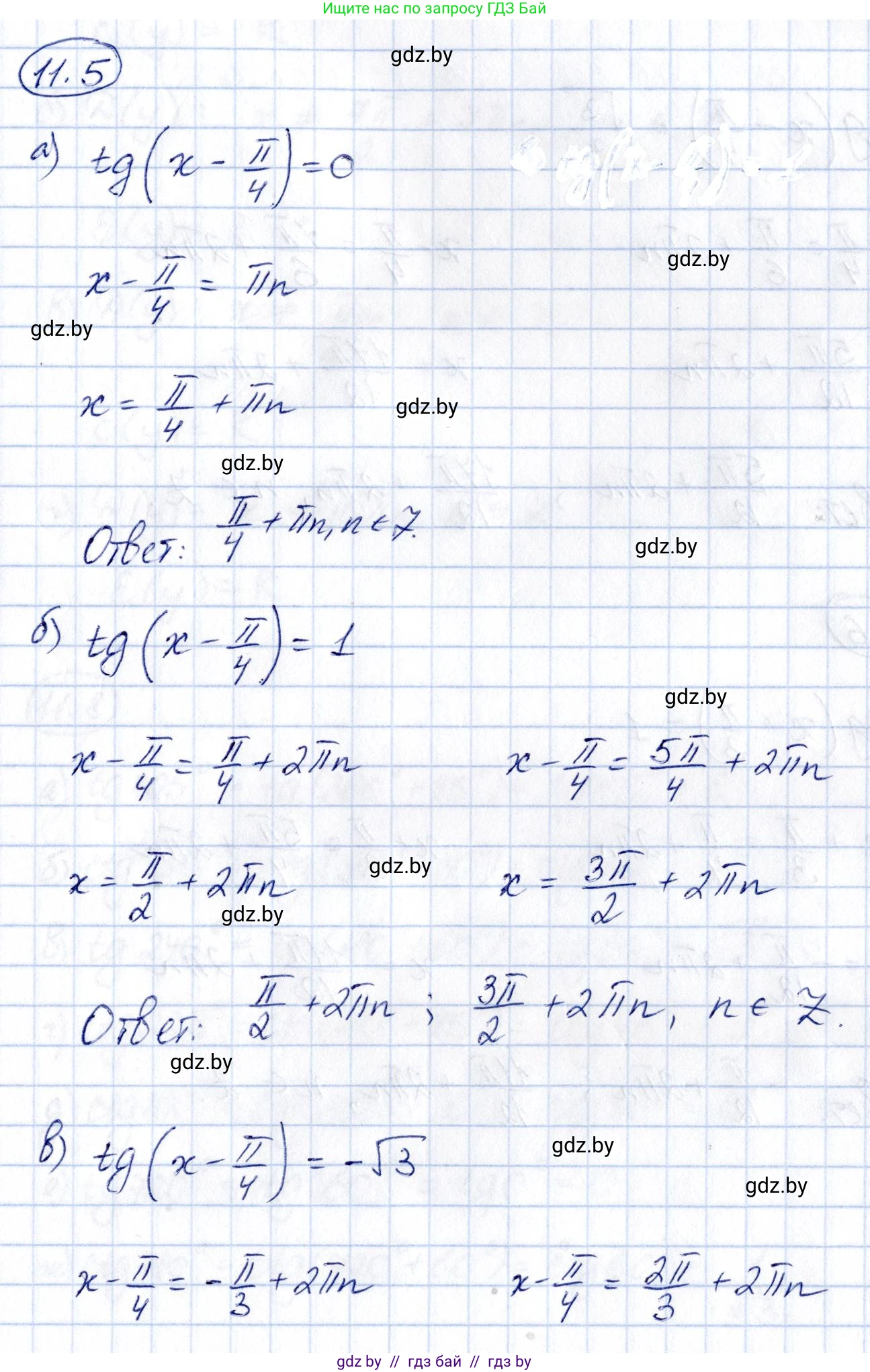
Решение. №11.5 (с. 56)
Алгебра, 10 класс Сборник задач, авторы: Арефьева Ирина Глебовна, Пирютко Ольга Николаевна, издательство Народная асвета, Минск, 2020, белого цвета, страница 56, номер 11.5, Решение Алгебра, 10 класс Сборник задач, авторы: Арефьева Ирина Глебовна, Пирютко Ольга Николаевна, издательство Народная асвета, Минск, 2020, белого цвета, страница 56, номер 11.5, Решение (продолжение 2)
Решение 2. №11.5 (с. 56)

а) Чтобы найти значения аргумента $x$, при которых функция $y = -\text{tg}(x - \frac{\pi}{4})$ принимает значение $0$, решим уравнение:
$-\text{tg}(x - \frac{\pi}{4}) = 0$
Умножим обе части уравнения на $-1$:
$\text{tg}(x - \frac{\pi}{4}) = 0$
Тангенс равен нулю, если его аргумент равен $\pi k$, где $k$ — любое целое число ($k \in \mathbb{Z}$).
$x - \frac{\pi}{4} = \pi k$
Выразим $x$:
$x = \frac{\pi}{4} + \pi k, k \in \mathbb{Z}$
Это общее решение. Найдем несколько частных значений $x$, подставляя различные целые значения $k$.
Например, при $k=0$ имеем $x = \frac{\pi}{4}$.
При $k=1$ имеем $x = \frac{\pi}{4} + \pi = \frac{5\pi}{4}$.
Ответ: $x = \frac{\pi}{4}$ и $x = \frac{5\pi}{4} = \mathbf{1}\frac{1}{4}\pi$.

б) Чтобы найти значения аргумента $x$, при которых функция принимает значение $-1$, решим уравнение:
$-\text{tg}(x - \frac{\pi}{4}) = -1$
Умножим обе части уравнения на $-1$:
$\text{tg}(x - \frac{\pi}{4}) = 1$
Тангенс равен единице, если его аргумент равен $\frac{\pi}{4} + \pi k$, где $k \in \mathbb{Z}$.
$x - \frac{\pi}{4} = \frac{\pi}{4} + \pi k$
Выразим $x$:
$x = \frac{\pi}{4} + \frac{\pi}{4} + \pi k = \frac{2\pi}{4} + \pi k = \frac{\pi}{2} + \pi k, k \in \mathbb{Z}$
Найдем несколько частных значений $x$.
При $k=0$ имеем $x = \frac{\pi}{2}$.
При $k=1$ имеем $x = \frac{\pi}{2} + \pi = \frac{3\pi}{2}$.
Ответ: $x = \frac{\pi}{2}$ и $x = \frac{3\pi}{2} = \mathbf{1}\frac{1}{2}\pi$.

в) Чтобы найти значения аргумента $x$, при которых функция принимает значение $\sqrt{3}$, решим уравнение:
$-\text{tg}(x - \frac{\pi}{4}) = \sqrt{3}$
Умножим обе части уравнения на $-1$:
$\text{tg}(x - \frac{\pi}{4}) = -\sqrt{3}$
Тангенс равен $-\sqrt{3}$, если его аргумент равен $-\frac{\pi}{3} + \pi k$, где $k \in \mathbb{Z}$.
$x - \frac{\pi}{4} = -\frac{\pi}{3} + \pi k$
Выразим $x$:
$x = \frac{\pi}{4} - \frac{\pi}{3} + \pi k = \frac{3\pi - 4\pi}{12} + \pi k = -\frac{\pi}{12} + \pi k, k \in \mathbb{Z}$
Найдем несколько частных значений $x$.
При $k=1$ имеем $x = -\frac{\pi}{12} + \pi = \frac{11\pi}{12}$.
При $k=2$ имеем $x = -\frac{\pi}{12} + 2\pi = \frac{23\pi}{12}$.
Ответ: $x = \frac{11\pi}{12}$ и $x = \frac{23\pi}{12} = \mathbf{1}\frac{11}{12}\pi$.

г) Чтобы найти значения аргумента $x$, при которых функция принимает значение $-\frac{\sqrt{3}}{3}$, решим уравнение:
$-\text{tg}(x - \frac{\pi}{4}) = -\frac{\sqrt{3}}{3}$
Умножим обе части уравнения на $-1$:
$\text{tg}(x - \frac{\pi}{4}) = \frac{\sqrt{3}}{3}$
Тангенс равен $\frac{\sqrt{3}}{3}$, если его аргумент равен $\frac{\pi}{6} + \pi k$, где $k \in \mathbb{Z}$.
$x - \frac{\pi}{4} = \frac{\pi}{6} + \pi k$
Выразим $x$:
$x = \frac{\pi}{4} + \frac{\pi}{6} + \pi k = \frac{3\pi + 2\pi}{12} + \pi k = \frac{5\pi}{12} + \pi k, k \in \mathbb{Z}$
Найдем несколько частных значений $x$.
При $k=0$ имеем $x = \frac{5\pi}{12}$.
При $k=1$ имеем $x = \frac{5\pi}{12} + \pi = \frac{17\pi}{12}$.
Ответ: $x = \frac{5\pi}{12}$ и $x = \frac{17\pi}{12} = \mathbf{1}\frac{5}{12}\pi$.

Помогло решение? Оставьте отзыв в комментариях ниже.

Присоединяйтесь к Телеграм-группе @gdz_by_belarus

Присоединиться

Мы подготовили для вас ответ c подробным объяснением домашего задания по алгебре за 10 класс, для упражнения номер 11.5 расположенного на странице 56 к сборнику задач 2020 года издания для учащихся школ и гимназий.

Теперь на нашем сайте ГДЗ.ТОП вы всегда легко и бесплатно найдёте условие с правильным ответом на вопрос «Как решить ДЗ» и «Как сделать» задание по алгебре к упражнению №11.5 (с. 56), авторов: Арефьева (Ирина Глебовна), Пирютко (Ольга Николаевна), базовый и повышенный уровень обучения учебного пособия издательства Народная асвета.