Номер 15.9, страница 85 - гдз по алгебре 10 класс сборник задач Арефьева, Пирютко

Алгебра, 10 класс Сборник задач, авторы: Арефьева Ирина Глебовна, Пирютко Ольга Николаевна, издательство Народная асвета, Минск, 2020, белого цвета

Авторы: Арефьева И. Г., Пирютко О. Н.

Тип: Сборник задач

Издательство: Народная асвета

Год издания: 2020 - 2026

Уровень обучения: базовый и повышенный

Цвет обложки: белый, голубой с графиком

Допущено Министерством образования Республики Беларусь

Популярные ГДЗ в 10 классе

Глава 3. Тригонометрия. Параграф 15. Синус, косинус, тангенс суммы и разности - номер 15.9, страница 85.

№15.9 (с. 85)
Условие. №15.9 (с. 85)
скриншот условия
Алгебра, 10 класс Сборник задач, авторы: Арефьева Ирина Глебовна, Пирютко Ольга Николаевна, издательство Народная асвета, Минск, 2020, белого цвета, страница 85, номер 15.9, Условие

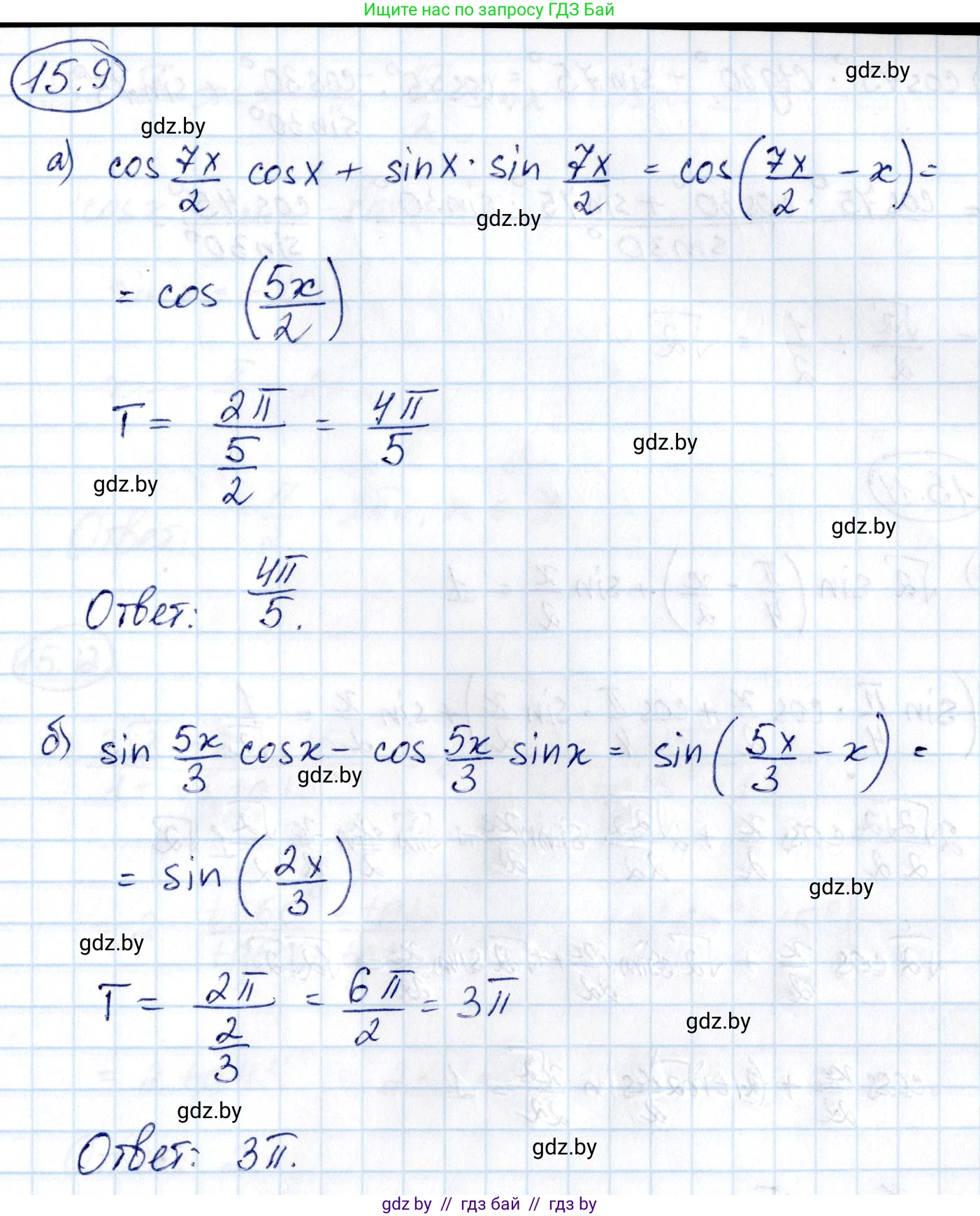
15.9. Найдите наименьший положительный период функции:

a) $y = \cos \frac{7x}{2} \cos x + \sin x \sin \frac{7x}{2};$

б) $y = \sin \frac{5x}{3} \cos x - \cos \frac{5x}{3} \sin x.$

Решение. №15.9 (с. 85)
Алгебра, 10 класс Сборник задач, авторы: Арефьева Ирина Глебовна, Пирютко Ольга Николаевна, издательство Народная асвета, Минск, 2020, белого цвета, страница 85, номер 15.9, Решение
Решение 2. №15.9 (с. 85)

а) Исходная функция: $y = \cos\frac{7x}{2}\cos x + \sin x \sin\frac{7x}{2}$.
Для упрощения этого выражения применим формулу косинуса разности: $\cos(\alpha - \beta) = \cos\alpha\cos\beta + \sin\alpha\sin\beta$.
Полагая $\alpha = \frac{7x}{2}$ и $\beta = x$, получаем:
$y = \cos(\frac{7x}{2} - x) = \cos(\frac{7x - 2x}{2}) = \cos(\frac{5x}{2})$.
Наименьший положительный период функции вида $y = \cos(kx)$ определяется по формуле $T = \frac{2\pi}{|k|}$.
В данном случае коэффициент $k = \frac{5}{2}$, следовательно, период равен:
$T = \frac{2\pi}{|\frac{5}{2}|} = \frac{2\pi \cdot 2}{5} = \frac{4\pi}{5}$.
Ответ: $\frac{4\pi}{5}$.

б) Исходная функция: $y = \sin\frac{5x}{3}\cos x - \cos\frac{5x}{3}\sin x$.
Для упрощения этого выражения применим формулу синуса разности: $\sin(\alpha - \beta) = \sin\alpha\cos\beta - \cos\alpha\sin\beta$.
Полагая $\alpha = \frac{5x}{3}$ и $\beta = x$, получаем:
$y = \sin(\frac{5x}{3} - x) = \sin(\frac{5x - 3x}{3}) = \sin(\frac{2x}{3})$.
Наименьший положительный период функции вида $y = \sin(kx)$ определяется по формуле $T = \frac{2\pi}{|k|}$.
В данном случае коэффициент $k = \frac{2}{3}$, следовательно, период равен:
$T = \frac{2\pi}{|\frac{2}{3}|} = \frac{2\pi \cdot 3}{2} = 3\pi$.
Ответ: 3$\pi$.

Помогло решение? Оставьте отзыв в комментариях ниже.

Присоединяйтесь к Телеграм-группе @gdz_by_belarus

Присоединиться

Мы подготовили для вас ответ c подробным объяснением домашего задания по алгебре за 10 класс, для упражнения номер 15.9 расположенного на странице 85 к сборнику задач 2020 года издания для учащихся школ и гимназий.

Теперь на нашем сайте ГДЗ.ТОП вы всегда легко и бесплатно найдёте условие с правильным ответом на вопрос «Как решить ДЗ» и «Как сделать» задание по алгебре к упражнению №15.9 (с. 85), авторов: Арефьева (Ирина Глебовна), Пирютко (Ольга Николаевна), базовый и повышенный уровень обучения учебного пособия издательства Народная асвета.