Номер 15.15, страница 85 - гдз по алгебре 10 класс сборник задач Арефьева, Пирютко

Алгебра, 10 класс Сборник задач, авторы: Арефьева Ирина Глебовна, Пирютко Ольга Николаевна, издательство Народная асвета, Минск, 2020, белого цвета

Авторы: Арефьева И. Г., Пирютко О. Н.

Тип: Сборник задач

Издательство: Народная асвета

Год издания: 2020 - 2026

Уровень обучения: базовый и повышенный

Цвет обложки: белый, голубой с графиком

Допущено Министерством образования Республики Беларусь

Глава 3. Тригонометрия. Параграф 15. Синус, косинус, тангенс суммы и разности - номер 15.15, страница 85.

№15.15 (с. 85)
Условие. №15.15 (с. 85)
скриншот условия
Алгебра, 10 класс Сборник задач, авторы: Арефьева Ирина Глебовна, Пирютко Ольга Николаевна, издательство Народная асвета, Минск, 2020, белого цвета, страница 85, номер 15.15, Условие

15.15. Решите уравнение:

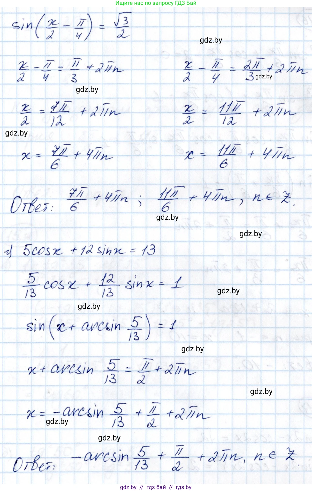
а) $\sqrt{3} \sin x + \cos x = \sqrt{2};$

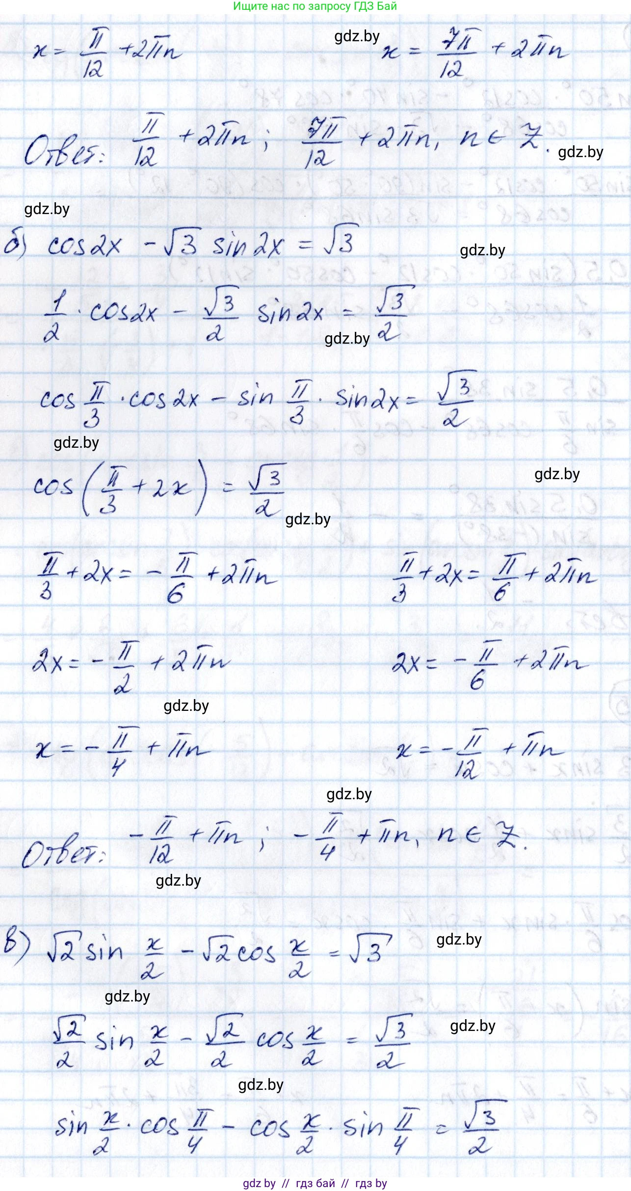
б) $\cos 2x - \sqrt{3} \sin 2x = \sqrt{3};$

в) $\sqrt{2} \sin \frac{x}{2} - \sqrt{2} \cos \frac{x}{2} = \sqrt{3};$

г) $5 \cos x + 12 \sin x = 13.$

Решение. №15.15 (с. 85)
Алгебра, 10 класс Сборник задач, авторы: Арефьева Ирина Глебовна, Пирютко Ольга Николаевна, издательство Народная асвета, Минск, 2020, белого цвета, страница 85, номер 15.15, Решение Алгебра, 10 класс Сборник задач, авторы: Арефьева Ирина Глебовна, Пирютко Ольга Николаевна, издательство Народная асвета, Минск, 2020, белого цвета, страница 85, номер 15.15, Решение (продолжение 2)
Решение 2. №15.15 (с. 85)

а) Исходное уравнение: $\sqrt{3}\sin x + \cos x = \sqrt{2}$.
Это уравнение вида $a\sin x + b\cos x = c$, где $a=\sqrt{3}, b=1, c=\sqrt{2}$. Применим метод вспомогательного угла. Разделим обе части уравнения на $\sqrt{a^2+b^2} = \sqrt{(\sqrt{3})^2+1^2} = \sqrt{3+1} = 2$.
Получим: $\frac{\sqrt{3}}{2}\sin x + \frac{1}{2}\cos x = \frac{\sqrt{2}}{2}$.
Заметим, что $\frac{\sqrt{3}}{2} = \cos(\frac{\pi}{6})$ и $\frac{1}{2} = \sin(\frac{\pi}{6})$. Уравнение принимает вид: $\cos(\frac{\pi}{6})\sin x + \sin(\frac{\pi}{6})\cos x = \frac{\sqrt{2}}{2}$.
Используя формулу синуса суммы $\sin(\alpha+\beta)=\sin\alpha\cos\beta+\cos\alpha\sin\beta$, получаем:
$\sin(x+\frac{\pi}{6}) = \frac{\sqrt{2}}{2}$.
Решения этого уравнения имеют вид:
$x+\frac{\pi}{6} = \frac{\pi}{4} + 2\pi k$ или $x+\frac{\pi}{6} = \pi - \frac{\pi}{4} + 2\pi k$, где $k \in \mathbb{Z}$.
Из первого уравнения: $x = \frac{\pi}{4} - \frac{\pi}{6} + 2\pi k = \frac{3\pi-2\pi}{12} + 2\pi k = \frac{\pi}{12} + 2\pi k$.
Из второго уравнения: $x = \frac{3\pi}{4} - \frac{\pi}{6} + 2\pi k = \frac{9\pi-2\pi}{12} + 2\pi k = \frac{7\pi}{12} + 2\pi k$.
Ответ: $\frac{\pi}{12} + 2\pi k, \frac{7\pi}{12} + 2\pi k, k \in \mathbb{Z}$.

б) Исходное уравнение: $\cos 2x - \sqrt{3}\sin 2x = \sqrt{3}$.
Это уравнение вида $b\cos(2x) + a\sin(2x) = c$, где $a=-\sqrt{3}, b=1, c=\sqrt{3}$. Разделим обе части на $\sqrt{a^2+b^2} = \sqrt{(-\sqrt{3})^2+1^2} = 2$.
$\frac{1}{2}\cos 2x - \frac{\sqrt{3}}{2}\sin 2x = \frac{\sqrt{3}}{2}$.
Заметим, что $\frac{1}{2} = \cos(\frac{\pi}{3})$ и $\frac{\sqrt{3}}{2} = \sin(\frac{\pi}{3})$. Уравнение принимает вид: $\cos(\frac{\pi}{3})\cos 2x - \sin(\frac{\pi}{3})\sin 2x = \frac{\sqrt{3}}{2}$.
Используя формулу косинуса суммы $\cos(\alpha+\beta)=\cos\alpha\cos\beta-\sin\alpha\sin\beta$, получаем:
$\cos(2x+\frac{\pi}{3}) = \frac{\sqrt{3}}{2}$.
Решения этого уравнения: $2x+\frac{\pi}{3} = \pm \arccos(\frac{\sqrt{3}}{2}) + 2\pi k = \pm\frac{\pi}{6} + 2\pi k$, где $k \in \mathbb{Z}$.
Рассмотрим два случая:
1) $2x+\frac{\pi}{3} = \frac{\pi}{6} + 2\pi k \implies 2x = \frac{\pi}{6} - \frac{\pi}{3} + 2\pi k = -\frac{\pi}{6} + 2\pi k \implies x = -\frac{\pi}{12} + \pi k$.
2) $2x+\frac{\pi}{3} = -\frac{\pi}{6} + 2\pi k \implies 2x = -\frac{\pi}{6} - \frac{\pi}{3} + 2\pi k = -\frac{\pi}{2} + 2\pi k \implies x = -\frac{\pi}{4} + \pi k$.
Ответ: $-\frac{\pi}{12} + \pi k, -\frac{\pi}{4} + \pi k, k \in \mathbb{Z}$.

в) Исходное уравнение: $\sqrt{2}\sin\frac{x}{2} - \sqrt{2}\cos\frac{x}{2} = \sqrt{3}$.
Разделим обе части уравнения на $\sqrt{(\sqrt{2})^2 + (-\sqrt{2})^2} = \sqrt{2+2} = 2$.
$\frac{\sqrt{2}}{2}\sin\frac{x}{2} - \frac{\sqrt{2}}{2}\cos\frac{x}{2} = \frac{\sqrt{3}}{2}$.
Заметим, что $\frac{\sqrt{2}}{2} = \cos(\frac{\pi}{4})$ и $\frac{\sqrt{2}}{2} = \sin(\frac{\pi}{4})$. Уравнение можно переписать как: $\sin\frac{x}{2}\cos\frac{\pi}{4} - \cos\frac{x}{2}\sin\frac{\pi}{4} = \frac{\sqrt{3}}{2}$.
Используя формулу синуса разности $\sin(\alpha-\beta)=\sin\alpha\cos\beta-\cos\alpha\sin\beta$, получаем:
$\sin(\frac{x}{2} - \frac{\pi}{4}) = \frac{\sqrt{3}}{2}$.
Решения этого уравнения:
$\frac{x}{2} - \frac{\pi}{4} = \frac{\pi}{3} + 2\pi k$ или $\frac{x}{2} - \frac{\pi}{4} = \pi - \frac{\pi}{3} + 2\pi k$, где $k \in \mathbb{Z}$.
1) $\frac{x}{2} = \frac{\pi}{4} + \frac{\pi}{3} + 2\pi k = \frac{3\pi+4\pi}{12} + 2\pi k = \frac{7\pi}{12} + 2\pi k \implies x = \frac{7\pi}{6} + 4\pi k$.
2) $\frac{x}{2} = \frac{\pi}{4} + \frac{2\pi}{3} + 2\pi k = \frac{3\pi+8\pi}{12} + 2\pi k = \frac{11\pi}{12} + 2\pi k \implies x = \frac{11\pi}{6} + 4\pi k$.
Представим дроби в виде смешанных чисел, выделив целую часть: $\frac{7\pi}{6} = 1\frac{1}{6}\pi$ и $\frac{11\pi}{6} = 1\frac{5}{6}\pi$.
Ответ: $\textbf{1}\frac{1}{6}\pi + 4\pi k, \textbf{1}\frac{5}{6}\pi + 4\pi k, k \in \mathbb{Z}$.

г) Исходное уравнение: $5\cos x + 12\sin x = 13$.
Разделим обе части уравнения на $\sqrt{5^2+12^2} = \sqrt{25+144} = \sqrt{169} = 13$.
$\frac{5}{13}\cos x + \frac{12}{13}\sin x = 1$.
Введем вспомогательный угол $\phi$ такой, что $\cos\phi = \frac{5}{13}$ и $\sin\phi = \frac{12}{13}$. Такой угол существует, так как $(\frac{5}{13})^2+(\frac{12}{13})^2 = \frac{25+144}{169} = 1$.
Уравнение принимает вид: $\cos\phi\cos x + \sin\phi\sin x = 1$.
Используя формулу косинуса разности, получаем:
$\cos(x-\phi) = 1$.
Решение этого уравнения: $x - \phi = 2\pi k$, где $k \in \mathbb{Z}$.
Следовательно, $x = \phi + 2\pi k$.
Так как $\cos\phi = \frac{5}{13}$, то $\phi = \arccos(\frac{5}{13})$.
Ответ: $\arccos(\frac{5}{13}) + 2\pi k, k \in \mathbb{Z}$.

Помогло решение? Оставьте отзыв в комментариях ниже.

Присоединяйтесь к Телеграм-группе @gdz_by_belarus

Присоединиться

Мы подготовили для вас ответ c подробным объяснением домашего задания по алгебре за 10 класс, для упражнения номер 15.15 расположенного на странице 85 к сборнику задач 2020 года издания для учащихся школ и гимназий.

Теперь на нашем сайте ГДЗ.ТОП вы всегда легко и бесплатно найдёте условие с правильным ответом на вопрос «Как решить ДЗ» и «Как сделать» задание по алгебре к упражнению №15.15 (с. 85), авторов: Арефьева (Ирина Глебовна), Пирютко (Ольга Николаевна), базовый и повышенный уровень обучения учебного пособия издательства Народная асвета.