Номер 15.18, страница 86 - гдз по алгебре 10 класс сборник задач Арефьева, Пирютко

Алгебра, 10 класс Сборник задач, авторы: Арефьева Ирина Глебовна, Пирютко Ольга Николаевна, издательство Народная асвета, Минск, 2020, белого цвета

Авторы: Арефьева И. Г., Пирютко О. Н.

Тип: Сборник задач

Издательство: Народная асвета

Год издания: 2020 - 2026

Уровень обучения: базовый и повышенный

Цвет обложки: белый, голубой с графиком

Допущено Министерством образования Республики Беларусь

Глава 3. Тригонометрия. Параграф 15. Синус, косинус, тангенс суммы и разности - номер 15.18, страница 86.

№15.18 (с. 86)
Условие. №15.18 (с. 86)
скриншот условия
Алгебра, 10 класс Сборник задач, авторы: Арефьева Ирина Глебовна, Пирютко Ольга Николаевна, издательство Народная асвета, Минск, 2020, белого цвета, страница 86, номер 15.18, Условие

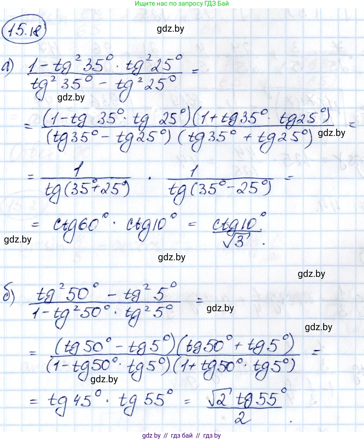
15.18. Упростите выражение:

a) $\frac{1 - \text{tg}^2 35^\circ \text{tg}^2 25^\circ}{\text{tg}^2 35^\circ - \text{tg}^2 25^\circ}$,

б) $\frac{\text{tg}^2 50^\circ - \text{tg}^2 5^\circ}{1 - \text{tg}^2 50^\circ \text{tg}^2 5^\circ}$.

Решение. №15.18 (с. 86)
Алгебра, 10 класс Сборник задач, авторы: Арефьева Ирина Глебовна, Пирютко Ольга Николаевна, издательство Народная асвета, Минск, 2020, белого цвета, страница 86, номер 15.18, Решение
Решение 2. №15.18 (с. 86)
а)

Для упрощения выражения $ \frac{1 - \tg^2 35^\circ \tg^2 25^\circ}{\tg^2 35^\circ - \tg^2 25^\circ} $ преобразуем его, используя тригонометрические тождества.

Воспользуемся формулой разности квадратов $ a^2 - b^2 = (a-b)(a+b) $ для числителя и знаменателя:

Числитель: $ 1 - \tg^2 35^\circ \tg^2 25^\circ = (1 - \tg 35^\circ \tg 25^\circ)(1 + \tg 35^\circ \tg 25^\circ) $.

Знаменатель: $ \tg^2 35^\circ - \tg^2 25^\circ = (\tg 35^\circ - \tg 25^\circ)(\tg 35^\circ + \tg 25^\circ) $.

Подставим разложенные выражения в исходную дробь и сгруппируем множители:

$ \frac{(1 - \tg 35^\circ \tg 25^\circ)(1 + \tg 35^\circ \tg 25^\circ)}{(\tg 35^\circ - \tg 25^\circ)(\tg 35^\circ + \tg 25^\circ)} = \left(\frac{1 - \tg 35^\circ \tg 25^\circ}{\tg 35^\circ + \tg 25^\circ}\right) \cdot \left(\frac{1 + \tg 35^\circ \tg 25^\circ}{\tg 35^\circ - \tg 25^\circ}\right) $

Теперь применим формулы тангенса суммы и разности углов $ \tg(\alpha \pm \beta) = \frac{\tg\alpha \pm \tg\beta}{1 \mp \tg\alpha \tg\beta} $.

Первый множитель является обратной величиной к тангенсу суммы:

$ \frac{1 - \tg 35^\circ \tg 25^\circ}{\tg 35^\circ + \tg 25^\circ} = \frac{1}{\tg(35^\circ + 25^\circ)} = \frac{1}{\tg 60^\circ} = \ctg 60^\circ $.

Второй множитель является обратной величиной к тангенсу разности:

$ \frac{1 + \tg 35^\circ \tg 25^\circ}{\tg 35^\circ - \tg 25^\circ} = \frac{1}{\tg(35^\circ - 25^\circ)} = \frac{1}{\tg 10^\circ} = \ctg 10^\circ $.

Перемножим полученные результаты:

$ \ctg 60^\circ \cdot \ctg 10^\circ = \frac{1}{\sqrt{3}} \cdot \ctg 10^\circ = \frac{\sqrt{3}}{3}\ctg 10^\circ $.

а) Ответ: $ \frac{\sqrt{3}}{3}\ctg 10^\circ $.

б)

Для упрощения выражения $ \frac{\tg^2 50^\circ - \tg^2 5^\circ}{1 - \tg^2 50^\circ \tg^2 5^\circ} $ воспользуемся тем же подходом, что и в пункте а).

Разложим числитель и знаменатель по формуле разности квадратов:

$ \frac{(\tg 50^\circ - \tg 5^\circ)(\tg 50^\circ + \tg 5^\circ)}{(1 - \tg 50^\circ \tg 5^\circ)(1 + \tg 50^\circ \tg 5^\circ)} $

Сгруппируем множители, чтобы применить формулы тангенса суммы и разности:

$ \left(\frac{\tg 50^\circ + \tg 5^\circ}{1 - \tg 50^\circ \tg 5^\circ}\right) \cdot \left(\frac{\tg 50^\circ - \tg 5^\circ}{1 + \tg 50^\circ \tg 5^\circ}\right) $

Первый множитель равен тангенсу суммы, а второй — тангенсу разности:

$ \tg(50^\circ + 5^\circ) \cdot \tg(50^\circ - 5^\circ) = \tg 55^\circ \cdot \tg 45^\circ $.

Так как значение $ \tg 45^\circ = 1 $, то окончательный результат:

$ \tg 55^\circ \cdot 1 = \tg 55^\circ $.

б) Ответ: $ \tg 55^\circ $.

Помогло решение? Оставьте отзыв в комментариях ниже.

Присоединяйтесь к Телеграм-группе @gdz_by_belarus

Присоединиться

Мы подготовили для вас ответ c подробным объяснением домашего задания по алгебре за 10 класс, для упражнения номер 15.18 расположенного на странице 86 к сборнику задач 2020 года издания для учащихся школ и гимназий.

Теперь на нашем сайте ГДЗ.ТОП вы всегда легко и бесплатно найдёте условие с правильным ответом на вопрос «Как решить ДЗ» и «Как сделать» задание по алгебре к упражнению №15.18 (с. 86), авторов: Арефьева (Ирина Глебовна), Пирютко (Ольга Николаевна), базовый и повышенный уровень обучения учебного пособия издательства Народная асвета.