Номер 16.2, страница 90 - гдз по алгебре 10 класс сборник задач Арефьева, Пирютко

Алгебра, 10 класс Сборник задач, авторы: Арефьева Ирина Глебовна, Пирютко Ольга Николаевна, издательство Народная асвета, Минск, 2020, белого цвета

Авторы: Арефьева И. Г., Пирютко О. Н.

Тип: Сборник задач

Издательство: Народная асвета

Год издания: 2020 - 2026

Уровень обучения: базовый и повышенный

Цвет обложки: белый, голубой с графиком

Допущено Министерством образования Республики Беларусь

Глава 3. Тригонометрия. Параграф 16. Формулы двойного аргумента - номер 16.2, страница 90.

№16.2 (с. 90)
Условие. №16.2 (с. 90)
скриншот условия
Алгебра, 10 класс Сборник задач, авторы: Арефьева Ирина Глебовна, Пирютко Ольга Николаевна, издательство Народная асвета, Минск, 2020, белого цвета, страница 90, номер 16.2, Условие

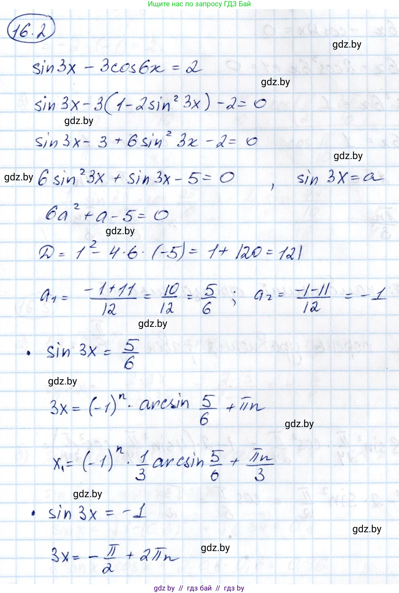
16.2. Решите уравнение $ \sin 3x - 3\cos 6x = 2 $.

Решение. №16.2 (с. 90)
Алгебра, 10 класс Сборник задач, авторы: Арефьева Ирина Глебовна, Пирютко Ольга Николаевна, издательство Народная асвета, Минск, 2020, белого цвета, страница 90, номер 16.2, Решение Алгебра, 10 класс Сборник задач, авторы: Арефьева Ирина Глебовна, Пирютко Ольга Николаевна, издательство Народная асвета, Минск, 2020, белого цвета, страница 90, номер 16.2, Решение (продолжение 2)
Решение 2. №16.2 (с. 90)

Данное тригонометрическое уравнение:

$\sin(3x) - 3\cos(6x) = 2$

Для решения этого уравнения воспользуемся формулой косинуса двойного угла: $\cos(2\alpha) = 1 - 2\sin^2(\alpha)$. В нашем случае, представим $\cos(6x)$ как $\cos(2 \cdot 3x)$, где $\alpha = 3x$.

$\cos(6x) = 1 - 2\sin^2(3x)$

Теперь подставим это выражение в исходное уравнение:

$\sin(3x) - 3(1 - 2\sin^2(3x)) = 2$

Раскроем скобки и перенесем все члены в левую часть:

$\sin(3x) - 3 + 6\sin^2(3x) - 2 = 0$

$6\sin^2(3x) + \sin(3x) - 5 = 0$

Это квадратное уравнение относительно $\sin(3x)$. Сделаем замену переменной. Пусть $t = \sin(3x)$. Так как область значений синуса $[-1, 1]$, то $-1 \le t \le 1$.

$6t^2 + t - 5 = 0$

Найдем корни этого квадратного уравнения с помощью дискриминанта:

$D = b^2 - 4ac = 1^2 - 4 \cdot 6 \cdot (-5) = 1 + 120 = 121 = 11^2$

$t_1 = \frac{-b - \sqrt{D}}{2a} = \frac{-1 - 11}{2 \cdot 6} = \frac{-12}{12} = -1$

$t_2 = \frac{-b + \sqrt{D}}{2a} = \frac{-1 + 11}{2 \cdot 6} = \frac{10}{12} = \frac{5}{6}$

Оба найденных значения для $t$ принадлежат отрезку $[-1, 1]$, следовательно, оба являются допустимыми.

Теперь вернемся к исходной переменной $x$, решив два простейших тригонометрических уравнения:

1) $\sin(3x) = -1$

Это частный случай, решение которого:

$3x = -\frac{\pi}{2} + 2\pi n$, где $n \in Z$

$x = -\frac{\pi}{6} + \frac{2\pi n}{3}$, где $n \in Z$

2) $\sin(3x) = \frac{5}{6}$

Общее решение для этого уравнения:

$3x = (-1)^k \arcsin\left(\frac{5}{6}\right) + \pi k$, где $k \in Z$

$x = \frac{(-1)^k}{3} \arcsin\left(\frac{5}{6}\right) + \frac{\pi k}{3}$, где $k \in Z$

Ответ: $x = -\frac{\pi}{6} + \frac{2\pi n}{3}, n \in Z$; $x = \frac{(-1)^k}{3} \arcsin\left(\frac{5}{6}\right) + \frac{\pi k}{3}, k \in Z$.

Помогло решение? Оставьте отзыв в комментариях ниже.

Присоединяйтесь к Телеграм-группе @gdz_by_belarus

Присоединиться

Мы подготовили для вас ответ c подробным объяснением домашего задания по алгебре за 10 класс, для упражнения номер 16.2 расположенного на странице 90 к сборнику задач 2020 года издания для учащихся школ и гимназий.

Теперь на нашем сайте ГДЗ.ТОП вы всегда легко и бесплатно найдёте условие с правильным ответом на вопрос «Как решить ДЗ» и «Как сделать» задание по алгебре к упражнению №16.2 (с. 90), авторов: Арефьева (Ирина Глебовна), Пирютко (Ольга Николаевна), базовый и повышенный уровень обучения учебного пособия издательства Народная асвета.