Номер 15.19, страница 86 - гдз по алгебре 10 класс сборник задач Арефьева, Пирютко

Алгебра, 10 класс Сборник задач, авторы: Арефьева Ирина Глебовна, Пирютко Ольга Николаевна, издательство Народная асвета, Минск, 2020, белого цвета

Авторы: Арефьева И. Г., Пирютко О. Н.

Тип: Сборник задач

Издательство: Народная асвета

Год издания: 2020 - 2026

Уровень обучения: базовый и повышенный

Цвет обложки: белый, голубой с графиком

Допущено Министерством образования Республики Беларусь

Глава 3. Тригонометрия. Параграф 15. Синус, косинус, тангенс суммы и разности - номер 15.19, страница 86.

№15.19 (с. 86)
Условие. №15.19 (с. 86)
скриншот условия
Алгебра, 10 класс Сборник задач, авторы: Арефьева Ирина Глебовна, Пирютко Ольга Николаевна, издательство Народная асвета, Минск, 2020, белого цвета, страница 86, номер 15.19, Условие

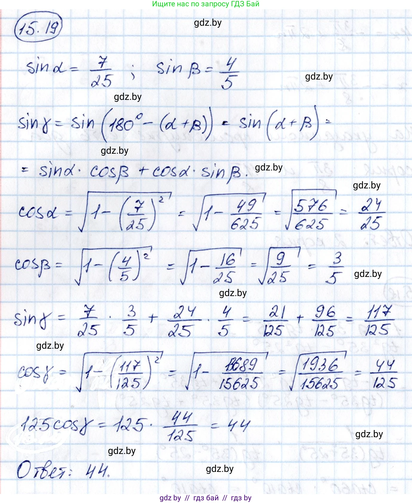
15.19. Синусы двух острых углов треугольника равны $ \frac{7}{25} $ и $ \frac{4}{5} $. Найдите значение выражения $ 125\cos\gamma $, где $ \gamma $ — третий угол треугольника.

Решение. №15.19 (с. 86)
Алгебра, 10 класс Сборник задач, авторы: Арефьева Ирина Глебовна, Пирютко Ольга Николаевна, издательство Народная асвета, Минск, 2020, белого цвета, страница 86, номер 15.19, Решение
Решение 2. №15.19 (с. 86)

Пусть углы треугольника будут $\alpha$, $\beta$ и $\gamma$. По условию, два угла острые. Обозначим их $\alpha$ и $\beta$. Известны их синусы: $\sin\alpha = \frac{7}{25}$ и $\sin\beta = \frac{4}{5}$.

Сумма углов в любом треугольнике составляет $180^\circ$, следовательно, $\alpha + \beta + \gamma = 180^\circ$. Отсюда мы можем выразить третий угол $\gamma$ через два других: $\gamma = 180^\circ - (\alpha + \beta)$.

Нам необходимо найти значение выражения $125\cos\gamma$. Для этого сначала найдем $\cos\gamma$. Используя формулу приведения для косинуса, получаем: $\cos\gamma = \cos(180^\circ - (\alpha + \beta)) = -\cos(\alpha + \beta)$.

Далее воспользуемся формулой косинуса суммы двух углов: $\cos(\alpha + \beta) = \cos\alpha\cos\beta - \sin\alpha\sin\beta$. Подставив это в наше выражение для $\cos\gamma$, получим: $\cos\gamma = -(\cos\alpha\cos\beta - \sin\alpha\sin\beta) = \sin\alpha\sin\beta - \cos\alpha\cos\beta$.

Теперь нам нужно найти значения $\cos\alpha$ и $\cos\beta$. Для этого используем основное тригонометрическое тождество: $\sin^2x + \cos^2x = 1$, из которого следует, что $\cos x = \pm\sqrt{1 - \sin^2x}$. Поскольку углы $\alpha$ и $\beta$ острые (то есть находятся в диапазоне от $0^\circ$ до $90^\circ$), их косинусы будут положительными.

Вычисляем $\cos\alpha$: $\cos\alpha = \sqrt{1 - \sin^2\alpha} = \sqrt{1 - (\frac{7}{25})^2} = \sqrt{1 - \frac{49}{625}} = \sqrt{\frac{625 - 49}{625}} = \sqrt{\frac{576}{625}} = \frac{24}{25}$.

Вычисляем $\cos\beta$: $\cos\beta = \sqrt{1 - \sin^2\beta} = \sqrt{1 - (\frac{4}{5})^2} = \sqrt{1 - \frac{16}{25}} = \sqrt{\frac{25 - 16}{25}} = \sqrt{\frac{9}{25}} = \frac{3}{5}$.

Теперь, когда у нас есть все необходимые значения, мы можем вычислить $\cos\gamma$: $\cos\gamma = \sin\alpha\sin\beta - \cos\alpha\cos\beta = \frac{7}{25} \cdot \frac{4}{5} - \frac{24}{25} \cdot \frac{3}{5} = \frac{28}{125} - \frac{72}{125} = \frac{28 - 72}{125} = -\frac{44}{125}$.

Наконец, находим значение искомого выражения $125\cos\gamma$: $125 \cdot \cos\gamma = 125 \cdot (-\frac{44}{125}) = -44$.

Ответ: -44

Помогло решение? Оставьте отзыв в комментариях ниже.

Присоединяйтесь к Телеграм-группе @gdz_by_belarus

Присоединиться

Мы подготовили для вас ответ c подробным объяснением домашего задания по алгебре за 10 класс, для упражнения номер 15.19 расположенного на странице 86 к сборнику задач 2020 года издания для учащихся школ и гимназий.

Теперь на нашем сайте ГДЗ.ТОП вы всегда легко и бесплатно найдёте условие с правильным ответом на вопрос «Как решить ДЗ» и «Как сделать» задание по алгебре к упражнению №15.19 (с. 86), авторов: Арефьева (Ирина Глебовна), Пирютко (Ольга Николаевна), базовый и повышенный уровень обучения учебного пособия издательства Народная асвета.