Номер 15.20, страница 86 - гдз по алгебре 10 класс сборник задач Арефьева, Пирютко

Алгебра, 10 класс Сборник задач, авторы: Арефьева Ирина Глебовна, Пирютко Ольга Николаевна, издательство Народная асвета, Минск, 2020, белого цвета

Авторы: Арефьева И. Г., Пирютко О. Н.

Тип: Сборник задач

Издательство: Народная асвета

Год издания: 2020 - 2026

Уровень обучения: базовый и повышенный

Цвет обложки: белый, голубой с графиком

Допущено Министерством образования Республики Беларусь

Глава 3. Тригонометрия. Параграф 15. Синус, косинус, тангенс суммы и разности - номер 15.20, страница 86.

№15.20 (с. 86)
Условие. №15.20 (с. 86)
скриншот условия
Алгебра, 10 класс Сборник задач, авторы: Арефьева Ирина Глебовна, Пирютко Ольга Николаевна, издательство Народная асвета, Минск, 2020, белого цвета, страница 86, номер 15.20, Условие

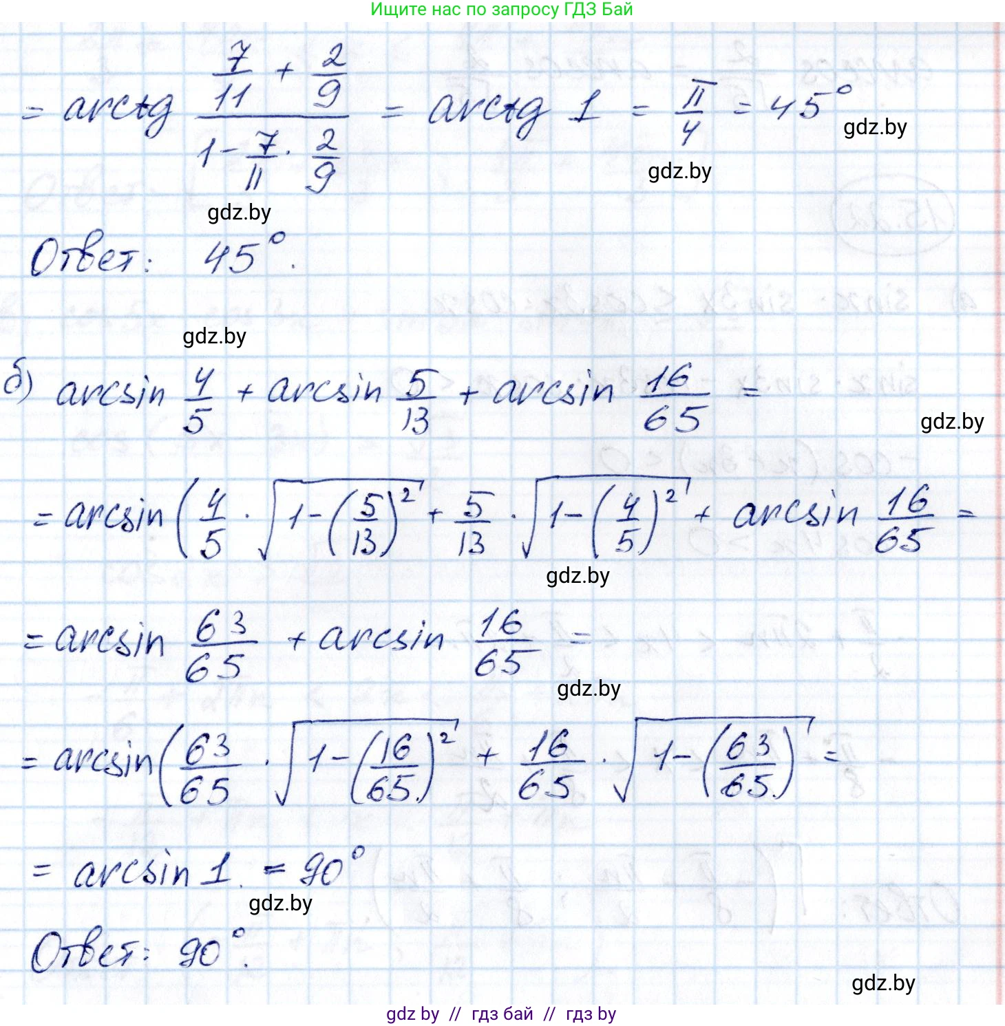
15.20. Найдите значение выражения:

a) $\text{arctg}\frac{1}{3} + \text{arctg}\frac{1}{4} + \text{arctg}\frac{2}{9}$;

б) $\text{arcsin}\frac{4}{5} + \text{arcsin}\frac{5}{13} + \text{arcsin}\frac{16}{65}$.

Решение. №15.20 (с. 86)
Алгебра, 10 класс Сборник задач, авторы: Арефьева Ирина Глебовна, Пирютко Ольга Николаевна, издательство Народная асвета, Минск, 2020, белого цвета, страница 86, номер 15.20, Решение Алгебра, 10 класс Сборник задач, авторы: Арефьева Ирина Глебовна, Пирютко Ольга Николаевна, издательство Народная асвета, Минск, 2020, белого цвета, страница 86, номер 15.20, Решение (продолжение 2)
Решение 2. №15.20 (с. 86)

а) $\text{arcctg}\frac{1}{3} + \text{arcctg}\frac{1}{4} + \text{arcctg}\frac{2}{9}$

Для решения воспользуемся свойством обратных тригонометрических функций $\text{arcctg}x = \text{arctg}\frac{1}{x}$ для $x > 0$. Поскольку все аргументы арккотангенса в выражении положительны, мы можем преобразовать его к сумме арктангенсов:

$\text{arcctg}\frac{1}{3} + \text{arcctg}\frac{1}{4} + \text{arcctg}\frac{2}{9} = \text{arctg}3 + \text{arctg}4 + \text{arctg}\frac{9}{2}$.

Обозначим $S = \text{arctg}3 + \text{arctg}4 + \text{arctg}\frac{9}{2}$. Пусть $\alpha = \text{arctg}3$, $\beta = \text{arctg}4$, $\gamma = \text{arctg}\frac{9}{2}$. Так как $3 > 0$, $4 > 0$ и $\frac{9}{2} > 0$, все углы $\alpha, \beta, \gamma$ лежат в интервале $(0, \frac{\pi}{2})$.

Найдем тангенс суммы этих углов. Сначала вычислим $\tan(\alpha + \beta)$, используя формулу тангенса суммы:

$\tan(\alpha + \beta) = \frac{\tan\alpha + \tan\beta}{1 - \tan\alpha\tan\beta} = \frac{3+4}{1-3 \cdot 4} = \frac{7}{1-12} = -\frac{7}{11}$.

Поскольку $\alpha, \beta \in (0, \frac{\pi}{2})$, их сумма $\alpha + \beta$ находится в интервале $(0, \pi)$. Так как $\tan(\alpha + \beta) < 0$, то угол $\alpha + \beta$ лежит в интервале $(\frac{\pi}{2}, \pi)$.

Теперь найдем тангенс всей суммы $S = (\alpha + \beta) + \gamma$:

$\tan(S) = \tan((\alpha + \beta) + \gamma) = \frac{\tan(\alpha+\beta) + \tan\gamma}{1 - \tan(\alpha+\beta)\tan\gamma} = \frac{-\frac{7}{11} + \frac{9}{2}}{1 - (-\frac{7}{11})\frac{9}{2}} = \frac{\frac{-14+99}{22}}{1 + \frac{63}{22}} = \frac{\frac{85}{22}}{\frac{22+63}{22}} = \frac{\frac{85}{22}}{\frac{85}{22}} = 1$.

Итак, $\tan(S) = 1$. Теперь определим, в каком интервале находится $S = \alpha + \beta + \gamma$.

Так как $\tan(\frac{\pi}{3})=\sqrt{3} \approx 1.73$, а $3, 4, \frac{9}{2}$ больше, чем $\sqrt{3}$, то каждый из углов $\alpha, \beta, \gamma$ больше $\frac{\pi}{3}$.

$\alpha = \text{arctg}3 > \text{arctg}\sqrt{3} = \frac{\pi}{3}$

$\beta = \text{arctg}4 > \text{arctg}\sqrt{3} = \frac{\pi}{3}$

$\gamma = \text{arctg}4.5 > \text{arctg}\sqrt{3} = \frac{\pi}{3}$

Следовательно, их сумма $S > \frac{\pi}{3} + \frac{\pi}{3} + \frac{\pi}{3} = \pi$.

С другой стороны, каждый из углов меньше $\frac{\pi}{2}$, поэтому $S < \frac{\pi}{2} + \frac{\pi}{2} + \frac{\pi}{2} = \frac{3\pi}{2}$.

Таким образом, $S$ находится в интервале $(\pi, \frac{3\pi}{2})$. Единственный угол в этом интервале, тангенс которого равен 1, это $\pi + \frac{\pi}{4} = \frac{5\pi}{4}$.

Ответ: $\mathbf{1}\frac{1}{4}\pi$.

б) $\text{arcsin}\frac{4}{5} + \text{arcsin}\frac{5}{13} + \text{arcsin}\frac{16}{65}$

Обозначим $\alpha = \text{arcsin}\frac{4}{5}$, $\beta = \text{arcsin}\frac{5}{13}$ и $\gamma = \text{arcsin}\frac{16}{65}$. Все аргументы арксинуса положительны и меньше 1, поэтому углы $\alpha, \beta, \gamma$ лежат в интервале $(0, \frac{\pi}{2})$.

Для нахождения суммы воспользуемся формулой синуса суммы $\sin(x+y) = \sin x \cos y + \cos x \sin y$.

Вычислим синусы и косинусы для углов $\alpha$ и $\beta$:

$\sin\alpha = \frac{4}{5}$, $\cos\alpha = \sqrt{1 - \sin^2\alpha} = \sqrt{1 - (\frac{4}{5})^2} = \sqrt{1 - \frac{16}{25}} = \sqrt{\frac{9}{25}} = \frac{3}{5}$.

$\sin\beta = \frac{5}{13}$, $\cos\beta = \sqrt{1 - \sin^2\beta} = \sqrt{1 - (\frac{5}{13})^2} = \sqrt{1 - \frac{25}{169}} = \sqrt{\frac{144}{169}} = \frac{12}{13}$.

Найдем синус суммы $\alpha + \beta$:

$\sin(\alpha + \beta) = \sin\alpha\cos\beta + \cos\alpha\sin\beta = \frac{4}{5} \cdot \frac{12}{13} + \frac{3}{5} \cdot \frac{5}{13} = \frac{48}{65} + \frac{15}{65} = \frac{63}{65}$.

Чтобы однозначно определить угол $\alpha + \beta$, найдем косинус этой суммы:

$\cos(\alpha + \beta) = \cos\alpha\cos\beta - \sin\alpha\sin\beta = \frac{3}{5} \cdot \frac{12}{13} - \frac{4}{5} \cdot \frac{5}{13} = \frac{36}{65} - \frac{20}{65} = \frac{16}{65}$.

Поскольку $\sin(\alpha + \beta) > 0$ и $\cos(\alpha + \beta) > 0$, угол $\alpha+\beta$ лежит в первой четверти, то есть $\alpha+\beta \in (0, \frac{\pi}{2})$.

Таким образом, $\alpha + \beta = \text{arcsin}\frac{63}{65}$.

Теперь исходное выражение можно переписать так:

$\text{arcsin}\frac{63}{65} + \text{arcsin}\frac{16}{65}$.

Пусть $x = \frac{63}{65}$ и $y = \frac{16}{65}$. Заметим, что $x^2 + y^2 = (\frac{63}{65})^2 + (\frac{16}{65})^2 = \frac{3969+256}{4225} = \frac{4225}{4225} = 1$.

Рассмотрим сумму $\text{arcsin}x + \text{arcsin}y$. Пусть $A = \text{arcsin}x$ и $B = \text{arcsin}y$. Тогда $\sin A = x$ и $\sin B = y$. Так как $x, y \in (0, 1)$, то $A, B \in (0, \frac{\pi}{2})$.

Из $x^2+y^2=1$ следует, что $\sin^2 A + \sin^2 B = 1$.

$\sin^2 B = 1 - \sin^2 A = \cos^2 A$.

Так как $A, B \in (0, \frac{\pi}{2})$, их синусы и косинусы положительны, поэтому $\sin B = \cos A$.

Используя формулу приведения $\cos A = \sin(\frac{\pi}{2} - A)$, получаем $\sin B = \sin(\frac{\pi}{2} - A)$.

Поскольку $B \in (0, \frac{\pi}{2})$ и $(\frac{\pi}{2} - A) \in (0, \frac{\pi}{2})$, из равенства синусов следует равенство углов: $B = \frac{\pi}{2} - A$, откуда $A+B = \frac{\pi}{2}$.

Следовательно, $\text{arcsin}\frac{63}{65} + \text{arcsin}\frac{16}{65} = \frac{\pi}{2}$.

Ответ: $\frac{\pi}{2}$.

Помогло решение? Оставьте отзыв в комментариях ниже.

Присоединяйтесь к Телеграм-группе @gdz_by_belarus

Присоединиться

Мы подготовили для вас ответ c подробным объяснением домашего задания по алгебре за 10 класс, для упражнения номер 15.20 расположенного на странице 86 к сборнику задач 2020 года издания для учащихся школ и гимназий.

Теперь на нашем сайте ГДЗ.ТОП вы всегда легко и бесплатно найдёте условие с правильным ответом на вопрос «Как решить ДЗ» и «Как сделать» задание по алгебре к упражнению №15.20 (с. 86), авторов: Арефьева (Ирина Глебовна), Пирютко (Ольга Николаевна), базовый и повышенный уровень обучения учебного пособия издательства Народная асвета.