Номер 18.1, страница 98 - гдз по алгебре 10 класс сборник задач Арефьева, Пирютко

Алгебра, 10 класс Сборник задач, авторы: Арефьева Ирина Глебовна, Пирютко Ольга Николаевна, издательство Народная асвета, Минск, 2020, белого цвета

Авторы: Арефьева И. Г., Пирютко О. Н.

Тип: Сборник задач

Издательство: Народная асвета

Год издания: 2020 - 2026

Уровень обучения: базовый и повышенный

Цвет обложки: белый, голубой с графиком

Допущено Министерством образования Республики Беларусь

Популярные ГДЗ в 10 классе

Глава 4. Корень n-й степени из числа. Параграф 18. Корень n-й степени из числа а (n≥2, n∈N) - номер 18.1, страница 98.

№18.1 (с. 98)
Условие. №18.1 (с. 98)
скриншот условия
Алгебра, 10 класс Сборник задач, авторы: Арефьева Ирина Глебовна, Пирютко Ольга Николаевна, издательство Народная асвета, Минск, 2020, белого цвета, страница 98, номер 18.1, Условие

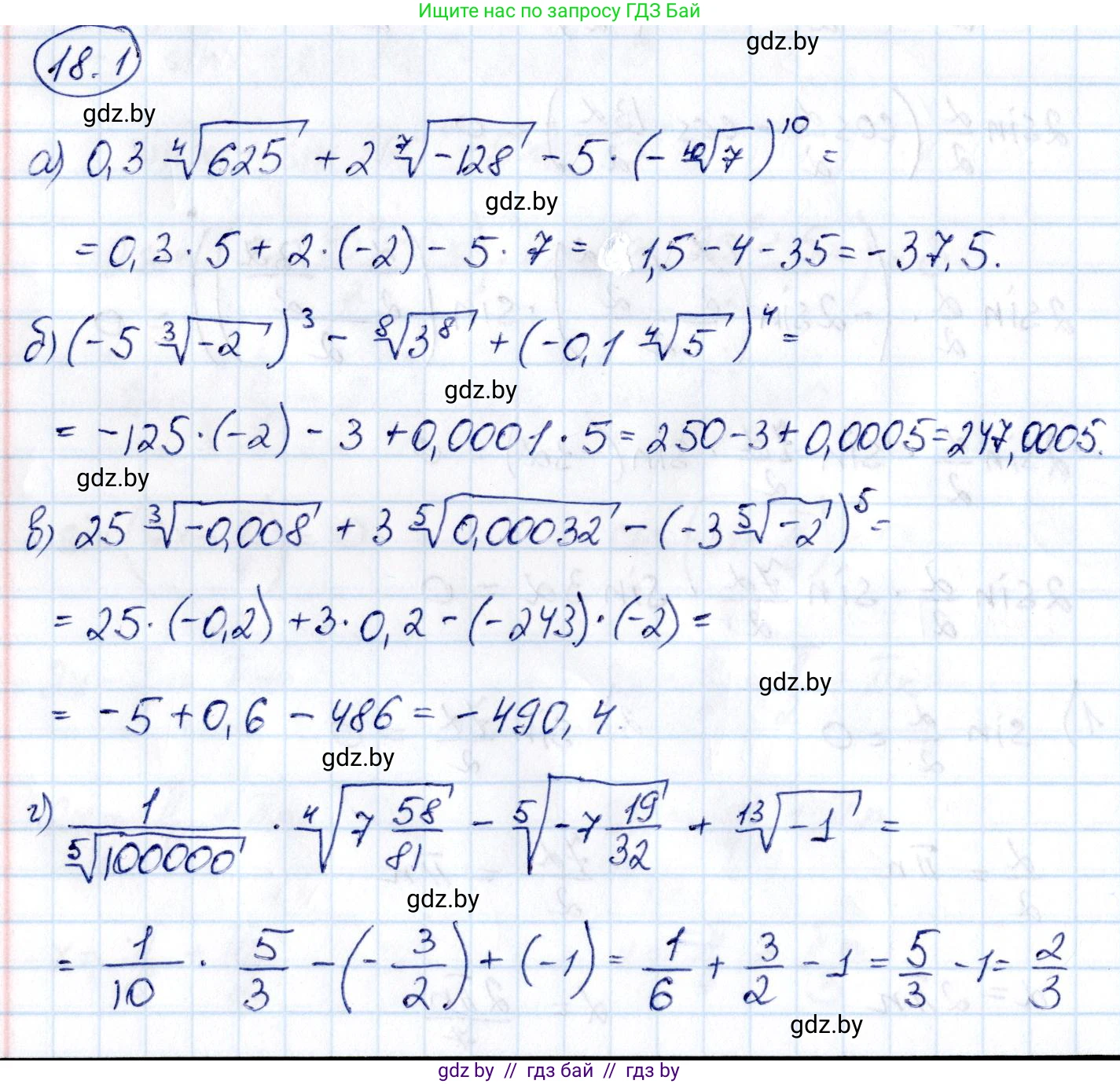
18.1. Найдите значение выражения:

а) $0,3\sqrt[4]{625} + 2\sqrt[7]{-128} - 5 \cdot (-\sqrt[10]{7})^{10};$

б) $(-5\sqrt[3]{-2})^3 - \sqrt[8]{3^8} + (-0,1\sqrt[4]{5})^4;$

в) $25\sqrt[3]{-0,008} + 3\sqrt[5]{0,00032} - (-3\sqrt[5]{-2})^5;$

г) $\frac{1}{\sqrt[5]{100\,000}} \cdot 4\sqrt[4]{7\frac{58}{81}} - 5\sqrt[5]{-7\frac{19}{32}} + \sqrt[13]{-1}.$

Решение. №18.1 (с. 98)
Алгебра, 10 класс Сборник задач, авторы: Арефьева Ирина Глебовна, Пирютко Ольга Николаевна, издательство Народная асвета, Минск, 2020, белого цвета, страница 98, номер 18.1, Решение
Решение 2. №18.1 (с. 98)

а)

Для нахождения значения выражения $ 0,3\sqrt[4]{625} + 2\sqrt[7]{-128} - 5 \cdot (-\sqrt[10]{7})^{10} $ вычислим каждый его компонент:

1. $ \sqrt[4]{625} = \sqrt[4]{5^4} = 5 $. Следовательно, первое слагаемое равно $ 0,3 \cdot 5 = 1,5 $.

2. $ \sqrt[7]{-128} = \sqrt[7]{(-2)^7} = -2 $. Следовательно, второе слагаемое равно $ 2 \cdot (-2) = -4 $.

3. Для выражения $ (-\sqrt[10]{7})^{10} $ воспользуемся свойством $ (\sqrt[n]{a})^n=a $ и учтем, что четная степень (10) убирает знак минус. Получаем $ (\sqrt[10]{7})^{10} = 7 $. Следовательно, третий член равен $ -5 \cdot 7 = -35 $.

4. Суммируем полученные результаты: $ 1,5 - 4 - 35 = -2,5 - 35 = -37,5 $.

Представим десятичную дробь в виде смешанного числа: $ -37,5 = -37\frac{5}{10} = -37\frac{1}{2} $.

Ответ: $-37\frac{1}{2}$

б)

Для нахождения значения выражения $ (-5\sqrt[3]{-2})^3 - \sqrt[8]{3^8} + (-0,1\sqrt[4]{5})^4 $ вычислим каждый его компонент:

1. $ (-5\sqrt[3]{-2})^3 = (-5)^3 \cdot (\sqrt[3]{-2})^3 = -125 \cdot (-2) = 250 $.

2. $ \sqrt[8]{3^8} = |3| = 3 $, так как корень четной степени. Таким образом, второй член равен $ -3 $.

3. $ (-0,1\sqrt[4]{5})^4 = (-0,1)^4 \cdot (\sqrt[4]{5})^4 = 0,0001 \cdot 5 = 0,0005 $.

4. Сложим все части: $ 250 - 3 + 0,0005 = 247 + 0,0005 = 247,0005 $.

Представим десятичную дробь в виде смешанного числа: $ 247,0005 = 247\frac{5}{10000} = 247\frac{1}{2000} $.

Ответ: $247\frac{1}{2000}$

в)

Для нахождения значения выражения $ 25\sqrt[3]{-0,008} + 3\sqrt[5]{0,00032} - (-3\sqrt[5]{-2})^5 $ вычислим каждый его компонент:

1. $ \sqrt[3]{-0,008} = \sqrt[3]{(-0,2)^3} = -0,2 $. Тогда первый член равен $ 25 \cdot (-0,2) = -5 $.

2. $ \sqrt[5]{0,00032} = \sqrt[5]{(0,2)^5} = 0,2 $. Тогда второй член равен $ 3 \cdot 0,2 = 0,6 $.

3. $ (-3\sqrt[5]{-2})^5 = (-3)^5 \cdot (\sqrt[5]{-2})^5 = -243 \cdot (-2) = 486 $. Вычитаем это значение: $ -486 $.

4. Суммируем все части: $ -5 + 0,6 - 486 = -4,4 - 486 = -490,4 $.

Представим десятичную дробь в виде смешанного числа: $ -490,4 = -490\frac{4}{10} = -490\frac{2}{5} $.

Ответ: $-490\frac{2}{5}$

г)

Для нахождения значения выражения $ \frac{1}{\sqrt[5]{100000}} \cdot \sqrt[4]{7\frac{58}{81}} - \sqrt[5]{-7\frac{19}{32}} + \sqrt[13]{-1} $ вычислим каждый его компонент:

1. $ \frac{1}{\sqrt[5]{100000}} = \frac{1}{\sqrt[5]{10^5}} = \frac{1}{10} $.

2. $ \sqrt[4]{7\frac{58}{81}} = \sqrt[4]{\frac{7 \cdot 81 + 58}{81}} = \sqrt[4]{\frac{567+58}{81}} = \sqrt[4]{\frac{625}{81}} = \frac{\sqrt[4]{5^4}}{\sqrt[4]{3^4}} = \frac{5}{3} $.

3. $ \sqrt[5]{-7\frac{19}{32}} = \sqrt[5]{-\frac{7 \cdot 32 + 19}{32}} = \sqrt[5]{-\frac{224+19}{32}} = \sqrt[5]{-\frac{243}{32}} = \frac{\sqrt[5]{(-3)^5}}{\sqrt[5]{2^5}} = -\frac{3}{2} $.

4. $ \sqrt[13]{-1} = -1 $, так как $ (-1)^{13} = -1 $.

5. Подставим все значения в выражение: $ \frac{1}{10} \cdot \frac{5}{3} - (-\frac{3}{2}) + (-1) = \frac{5}{30} + \frac{3}{2} - 1 = \frac{1}{6} + \frac{9}{6} - \frac{6}{6} = \frac{1+9-6}{6} = \frac{4}{6} = \frac{2}{3} $.

Ответ: $\frac{2}{3}$

Помогло решение? Оставьте отзыв в комментариях ниже.

Присоединяйтесь к Телеграм-группе @gdz_by_belarus

Присоединиться

Мы подготовили для вас ответ c подробным объяснением домашего задания по алгебре за 10 класс, для упражнения номер 18.1 расположенного на странице 98 к сборнику задач 2020 года издания для учащихся школ и гимназий.

Теперь на нашем сайте ГДЗ.ТОП вы всегда легко и бесплатно найдёте условие с правильным ответом на вопрос «Как решить ДЗ» и «Как сделать» задание по алгебре к упражнению №18.1 (с. 98), авторов: Арефьева (Ирина Глебовна), Пирютко (Ольга Николаевна), базовый и повышенный уровень обучения учебного пособия издательства Народная асвета.