Номер 18.4, страница 98 - гдз по алгебре 10 класс сборник задач Арефьева, Пирютко

Алгебра, 10 класс Сборник задач, авторы: Арефьева Ирина Глебовна, Пирютко Ольга Николаевна, издательство Народная асвета, Минск, 2020, белого цвета

Авторы: Арефьева И. Г., Пирютко О. Н.

Тип: Сборник задач

Издательство: Народная асвета

Год издания: 2020 - 2026

Уровень обучения: базовый и повышенный

Цвет обложки: белый, голубой с графиком

Допущено Министерством образования Республики Беларусь

Популярные ГДЗ в 10 классе

Глава 4. Корень n-й степени из числа. Параграф 18. Корень n-й степени из числа а (n≥2, n∈N) - номер 18.4, страница 98.

№18.4 (с. 98)
Условие. №18.4 (с. 98)
скриншот условия
Алгебра, 10 класс Сборник задач, авторы: Арефьева Ирина Глебовна, Пирютко Ольга Николаевна, издательство Народная асвета, Минск, 2020, белого цвета, страница 98, номер 18.4, Условие

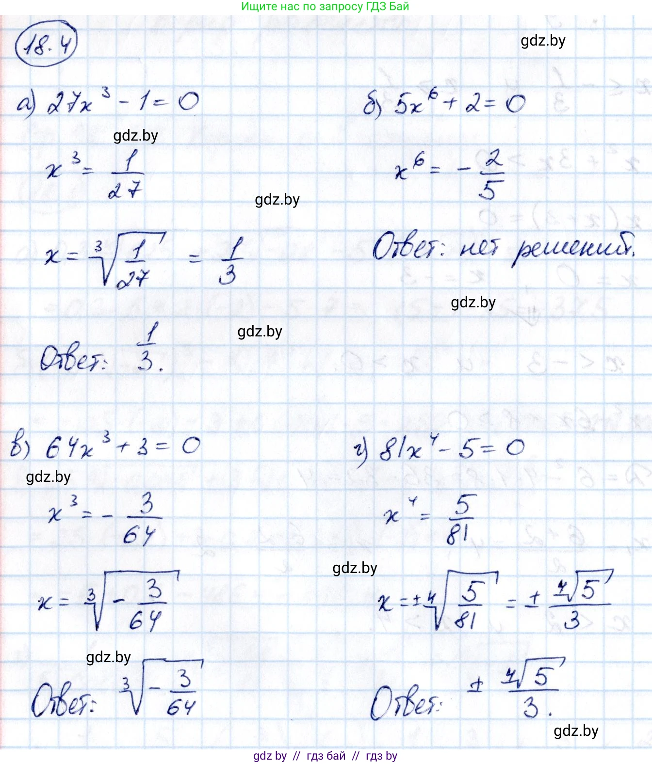
18.4. Решите уравнение:

а) $27x^3 - 1 = 0;$

б) $5x^6 + 2 = 0;$

в) $64x^3 + 3 = 0;$

г) $81x^4 - 5 = 0;$

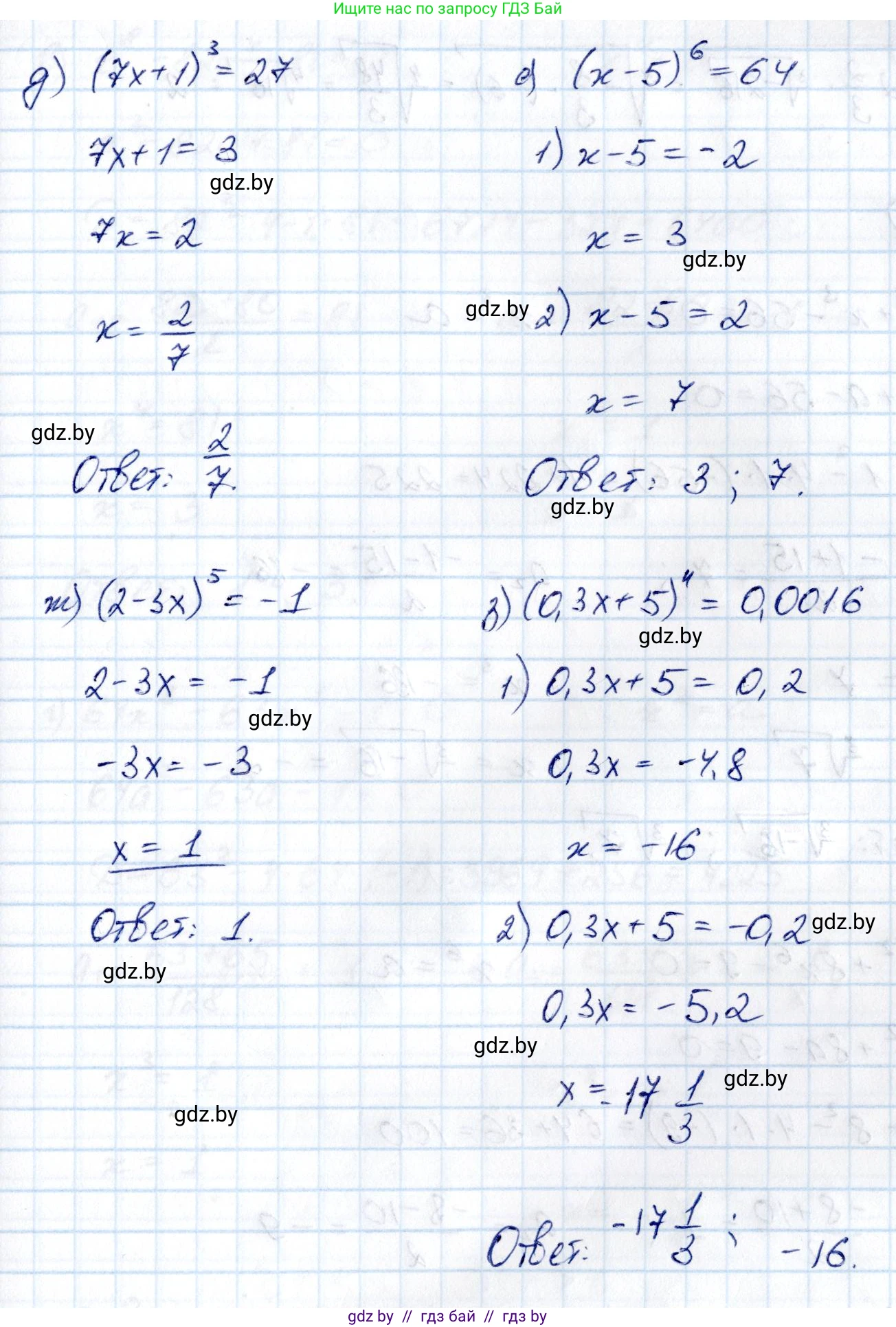
д) $(7x + 1)^3 = 27;$

е) $(x - 5)^6 = 64;$

ж) $(2 - 3x)^5 = -1;$

з) $(0,3x + 5)^4 = 0,0016.$

Решение. №18.4 (с. 98)
Алгебра, 10 класс Сборник задач, авторы: Арефьева Ирина Глебовна, Пирютко Ольга Николаевна, издательство Народная асвета, Минск, 2020, белого цвета, страница 98, номер 18.4, Решение Алгебра, 10 класс Сборник задач, авторы: Арефьева Ирина Глебовна, Пирютко Ольга Николаевна, издательство Народная асвета, Минск, 2020, белого цвета, страница 98, номер 18.4, Решение (продолжение 2)
Решение 2. №18.4 (с. 98)

а) $27x^3 - 1 = 0$

Перенесем 1 в правую часть уравнения:

$27x^3 = 1$

Разделим обе части на 27:

$x^3 = \frac{1}{27}$

Извлечем кубический корень из обеих частей:

$x = \sqrt[3]{\frac{1}{27}}$

$x = \frac{1}{3}$

Ответ: $\frac{1}{3}$


б) $5x^6 + 2 = 0$

Перенесем 2 в правую часть уравнения:

$5x^6 = -2$

Разделим обе части на 5:

$x^6 = -\frac{2}{5}$

Поскольку любое действительное число, возведенное в четную степень (6), является неотрицательным ($x^6 \ge 0$), а правая часть уравнения отрицательна ($-\frac{2}{5}$), уравнение не имеет действительных корней.

Ответ: действительных корней нет.


в) $64x^3 + 3 = 0$

Перенесем 3 в правую часть:

$64x^3 = -3$

Разделим обе части на 64:

$x^3 = -\frac{3}{64}$

Извлечем кубический корень из обеих частей:

$x = \sqrt[3]{-\frac{3}{64}}$

$x = -\frac{\sqrt[3]{3}}{4}$

Ответ: $-\frac{\sqrt[3]{3}}{4}$


г) $81x^4 - 5 = 0$

Перенесем 5 в правую часть:

$81x^4 = 5$

Разделим обе части на 81:

$x^4 = \frac{5}{81}$

Извлечем корень четвертой степени из обеих частей. Поскольку степень четная, получаем два корня:

$x = \pm\sqrt[4]{\frac{5}{81}}$

$x = \pm\frac{\sqrt[4]{5}}{3}$

Ответ: $\pm\frac{\sqrt[4]{5}}{3}$


д) $(7x + 1)^3 = 27$

Извлечем кубический корень из обеих частей, учитывая что $27 = 3^3$:

$\sqrt[3]{(7x + 1)^3} = \sqrt[3]{27}$

$7x + 1 = 3$

Перенесем 1 в правую часть:

$7x = 3 - 1$

$7x = 2$

Разделим обе части на 7:

$x = \frac{2}{7}$

Ответ: $\frac{2}{7}$


е) $(x - 5)^6 = 64$

Извлечем корень шестой степени из обеих частей. Поскольку $64 = 2^6$ и степень четная, получаем два варианта:

$x - 5 = 2$ или $x - 5 = -2$

Решим первое уравнение:

$x - 5 = 2 \implies x_1 = 2 + 5 = 7$

Решим второе уравнение:

$x - 5 = -2 \implies x_2 = -2 + 5 = 3$

Ответ: $3; 7$


ж) $(2 - 3x)^5 = -1$

Извлечем корень пятой степени из обеих частей. Поскольку $-1 = (-1)^5$ и степень нечетная, получаем:

$2 - 3x = -1$

Перенесем 2 в правую часть:

$-3x = -1 - 2$

$-3x = -3$

Разделим обе части на -3:

$x = 1$

Ответ: $1$


з) $(0,3x + 5)^4 = 0,0016$

Представим $0,0016$ в виде степени: $0,0016 = (0,2)^4$. Уравнение примет вид:

$(0,3x + 5)^4 = (0,2)^4$

Извлечем корень четвертой степени из обеих частей. Поскольку степень четная, получаем два варианта:

$0,3x + 5 = 0,2$ или $0,3x + 5 = -0,2$

Решим первое уравнение:

$0,3x = 0,2 - 5 \implies 0,3x = -4,8 \implies x_1 = \frac{-4,8}{0,3} = -16$

Решим второе уравнение:

$0,3x = -0,2 - 5 \implies 0,3x = -5,2 \implies x_2 = \frac{-5,2}{0,3} = -\frac{52}{3}$

Представим неправильную дробь в виде смешанного числа: $-\frac{52}{3} = -17\frac{1}{3}$

Ответ: $-16; -17\frac{1}{3}$

Помогло решение? Оставьте отзыв в комментариях ниже.

Присоединяйтесь к Телеграм-группе @gdz_by_belarus

Присоединиться

Мы подготовили для вас ответ c подробным объяснением домашего задания по алгебре за 10 класс, для упражнения номер 18.4 расположенного на странице 98 к сборнику задач 2020 года издания для учащихся школ и гимназий.

Теперь на нашем сайте ГДЗ.ТОП вы всегда легко и бесплатно найдёте условие с правильным ответом на вопрос «Как решить ДЗ» и «Как сделать» задание по алгебре к упражнению №18.4 (с. 98), авторов: Арефьева (Ирина Глебовна), Пирютко (Ольга Николаевна), базовый и повышенный уровень обучения учебного пособия издательства Народная асвета.