Номер 20.9, страница 104 - гдз по алгебре 10 класс сборник задач Арефьева, Пирютко

Алгебра, 10 класс Сборник задач, авторы: Арефьева Ирина Глебовна, Пирютко Ольга Николаевна, издательство Народная асвета, Минск, 2020, белого цвета

Авторы: Арефьева И. Г., Пирютко О. Н.

Тип: Сборник задач

Издательство: Народная асвета

Год издания: 2020 - 2026

Уровень обучения: базовый и повышенный

Цвет обложки: белый, голубой с графиком

Допущено Министерством образования Республики Беларусь

Глава 4. Корень n-й степени из числа. Параграф 20. Применение свойств корней n-й степени для преобразования выражений - номер 20.9, страница 104.

№20.9 (с. 104)
Условие. №20.9 (с. 104)
скриншот условия
Алгебра, 10 класс Сборник задач, авторы: Арефьева Ирина Глебовна, Пирютко Ольга Николаевна, издательство Народная асвета, Минск, 2020, белого цвета, страница 104, номер 20.9, Условие

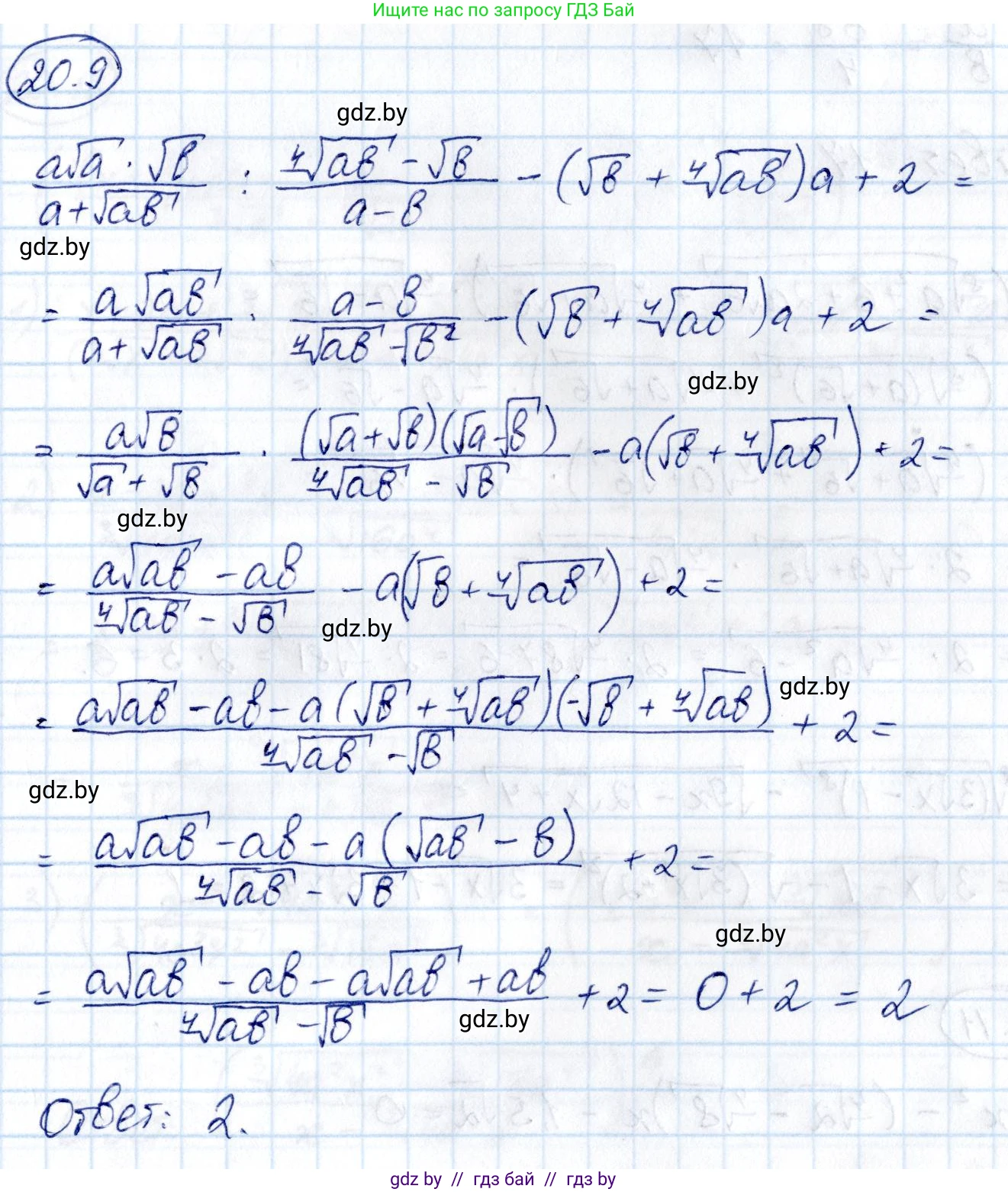
20.9. Упростите выражение

$\frac{a\sqrt{a} \cdot \sqrt{b}}{a+\sqrt{ab}} : \frac{\sqrt[4]{ab}-\sqrt{b}}{a-b} - (\sqrt{b}+\sqrt[4]{ab})a+2.$

Решение. №20.9 (с. 104)
Алгебра, 10 класс Сборник задач, авторы: Арефьева Ирина Глебовна, Пирютко Ольга Николаевна, издательство Народная асвета, Минск, 2020, белого цвета, страница 104, номер 20.9, Решение
Решение 2. №20.9 (с. 104)

Для упрощения данного выражения, будем выполнять действия по порядку. Сначала выполним деление, а затем остальные действия. Область допустимых значений (ОДЗ): $a > 0$, $b > 0$, $a \neq b$.

1. Рассмотрим первую часть выражения, включающую деление:

$$ \frac{a\sqrt{a} \cdot \sqrt{b}}{a + \sqrt{ab}} : \frac{\sqrt[4]{ab} - \sqrt{b}}{a - b} $$

Упростим первую дробь $\frac{a\sqrt{a} \cdot \sqrt{b}}{a + \sqrt{ab}}$.

Преобразуем числитель: $a\sqrt{a} \cdot \sqrt{b} = a\sqrt{ab}$.

В знаменателе вынесем за скобки общий множитель $\sqrt{a}$: $a + \sqrt{ab} = (\sqrt{a})^2 + \sqrt{a}\sqrt{b} = \sqrt{a}(\sqrt{a} + \sqrt{b})$.

Получаем: $$ \frac{a\sqrt{ab}}{\sqrt{a}(\sqrt{a} + \sqrt{b})} = \frac{(\sqrt{a})^2\sqrt{ab}}{\sqrt{a}(\sqrt{a} + \sqrt{b})} = \frac{\sqrt{a}\sqrt{ab}}{\sqrt{a} + \sqrt{b}} $$

2. Теперь упростим вторую дробь $\frac{\sqrt[4]{ab} - \sqrt{b}}{a - b}$.

Преобразуем числитель, учитывая, что $\sqrt{b} = (\sqrt[4]{b})^2$: $\sqrt[4]{ab} - \sqrt{b} = \sqrt[4]{a}\sqrt[4]{b} - (\sqrt[4]{b})^2 = \sqrt[4]{b}(\sqrt[4]{a} - \sqrt[4]{b})$.

Преобразуем знаменатель, используя формулу разности квадратов дважды:

$a - b = (\sqrt{a} - \sqrt{b})(\sqrt{a} + \sqrt{b}) = ((\sqrt[4]{a})^2 - (\sqrt[4]{b})^2)(\sqrt{a} + \sqrt{b}) = (\sqrt[4]{a} - \sqrt[4]{b})(\sqrt[4]{a} + \sqrt[4]{b})(\sqrt{a} + \sqrt{b})$.

Получаем: $$ \frac{\sqrt[4]{b}(\sqrt[4]{a} - \sqrt[4]{b})}{(\sqrt[4]{a} - \sqrt[4]{b})(\sqrt[4]{a} + \sqrt[4]{b})(\sqrt{a} + \sqrt{b})} = \frac{\sqrt[4]{b}}{(\sqrt[4]{a} + \sqrt[4]{b})(\sqrt{a} + \sqrt{b})} $$

3. Выполним деление, заменив его на умножение на обратную дробь:

$$ \frac{\sqrt{a}\sqrt{ab}}{\sqrt{a} + \sqrt{b}} \cdot \frac{(\sqrt[4]{a} + \sqrt[4]{b})(\sqrt{a} + \sqrt{b})}{\sqrt[4]{b}} $$

Сократим $(\sqrt{a} + \sqrt{b})$:

$$ \sqrt{a}\sqrt{ab} \cdot \frac{\sqrt[4]{a} + \sqrt[4]{b}}{\sqrt[4]{b}} $$

Упростим первый множитель: $\sqrt{a}\sqrt{ab} = a\sqrt{b}$.

$$ a\sqrt{b} \cdot \frac{\sqrt[4]{a} + \sqrt[4]{b}}{\sqrt[4]{b}} = \frac{a \cdot b^{1/2}}{b^{1/4}}(\sqrt[4]{a} + \sqrt[4]{b}) = a \cdot b^{1/2-1/4}(\sqrt[4]{a} + \sqrt[4]{b}) = a\sqrt[4]{b}(\sqrt[4]{a} + \sqrt[4]{b}) $$

Раскроем скобки:

$$ a\sqrt[4]{b}\sqrt[4]{a} + a\sqrt[4]{b}\sqrt[4]{b} = a\sqrt[4]{ab} + a\sqrt[4]{b^2} = a\sqrt[4]{ab} + a\sqrt{b} $$

4. Подставим полученный результат в исходное выражение:

$$ (a\sqrt[4]{ab} + a\sqrt{b}) - (\sqrt{b} + \sqrt[4]{ab})a + 2 $$

Раскроем скобки во втором слагаемом:

$$ a\sqrt[4]{ab} + a\sqrt{b} - a\sqrt{b} - a\sqrt[4]{ab} + 2 $$

Приведем подобные слагаемые:

$$ (a\sqrt[4]{ab} - a\sqrt[4]{ab}) + (a\sqrt{b} - a\sqrt{b}) + 2 = 0 + 0 + 2 = 2 $$

20.9. Ответ: 2

Помогло решение? Оставьте отзыв в комментариях ниже.

Присоединяйтесь к Телеграм-группе @gdz_by_belarus

Присоединиться

Мы подготовили для вас ответ c подробным объяснением домашего задания по алгебре за 10 класс, для упражнения номер 20.9 расположенного на странице 104 к сборнику задач 2020 года издания для учащихся школ и гимназий.

Теперь на нашем сайте ГДЗ.ТОП вы всегда легко и бесплатно найдёте условие с правильным ответом на вопрос «Как решить ДЗ» и «Как сделать» задание по алгебре к упражнению №20.9 (с. 104), авторов: Арефьева (Ирина Глебовна), Пирютко (Ольга Николаевна), базовый и повышенный уровень обучения учебного пособия издательства Народная асвета.