Номер 21.2, страница 106 - гдз по алгебре 10 класс сборник задач Арефьева, Пирютко

Алгебра, 10 класс Сборник задач, авторы: Арефьева Ирина Глебовна, Пирютко Ольга Николаевна, издательство Народная асвета, Минск, 2020, белого цвета

Авторы: Арефьева И. Г., Пирютко О. Н.

Тип: Сборник задач

Издательство: Народная асвета

Год издания: 2020 - 2026

Уровень обучения: базовый и повышенный

Цвет обложки: белый, голубой с графиком

Допущено Министерством образования Республики Беларусь

Популярные ГДЗ в 10 классе

Глава 4. Корень n-й степени из числа. Параграф 21. Свойства и график функции y=n√x (n>1, n∈N) - номер 21.2, страница 106.

№21.2 (с. 106)
Условие. №21.2 (с. 106)
скриншот условия
Алгебра, 10 класс Сборник задач, авторы: Арефьева Ирина Глебовна, Пирютко Ольга Николаевна, издательство Народная асвета, Минск, 2020, белого цвета, страница 106, номер 21.2, Условие

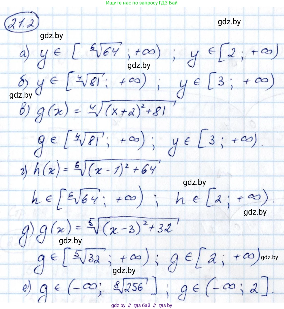
21.2. Найдите множество значений функции:

а) $g(x) = \sqrt[6]{(x-1)^2 + 64}$;

б) $h(x) = \sqrt[4]{(x+5)^2 + 81}$;

в) $g(x) = \sqrt[4]{x^2 + 4x + 85}$;

г) $h(x) = \sqrt[6]{x^2 - 2x + 65}$;

д) $g(x) = \sqrt[5]{x^2 - 6x + 41}$;

е) $g(x) = \sqrt[8]{256 - (x+3)^2}$.

Решение. №21.2 (с. 106)
Алгебра, 10 класс Сборник задач, авторы: Арефьева Ирина Глебовна, Пирютко Ольга Николаевна, издательство Народная асвета, Минск, 2020, белого цвета, страница 106, номер 21.2, Решение
Решение 2. №21.2 (с. 106)

а) Для того чтобы найти множество значений функции $g(x) = \sqrt[6]{(x-1)^2 + 64}$, необходимо найти множество значений подкоренного выражения $f(x) = (x-1)^2 + 64$. Выражение $(x-1)^2$ является квадратом и его наименьшее значение равно 0 (достигается при $x=1$). Таким образом, наименьшее значение подкоренного выражения составляет $0 + 64 = 64$. Так как $(x-1)^2$ может принимать любые неотрицательные значения, множество значений подкоренного выражения есть промежуток $[64, +\infty)$. Функция $y=\sqrt[6]{z}$ является монотонно возрастающей для $z \ge 0$. Следовательно, наименьшее значение функции $g(x)$ будет $\sqrt[6]{64} = 2$. При увеличении подкоренного выражения до бесконечности, значение функции $g(x)$ также стремится к бесконечности. Таким образом, множество значений функции — это $[2, +\infty)$.
Ответ: $[2, +\infty)$.

б) Рассмотрим функцию $h(x) = \sqrt[4]{(x+5)^2 + 81}$. Аналогично предыдущему пункту, подкоренное выражение $f(x) = (x+5)^2 + 81$ имеет наименьшее значение, когда $(x+5)^2=0$ (при $x=-5$). Это значение равно $0 + 81 = 81$. Множество значений подкоренного выражения — $[81, +\infty)$. Функция $y=\sqrt[4]{z}$ является возрастающей. Ее наименьшее значение на этом промежутке равно $\sqrt[4]{81} = 3$. Таким образом, множество значений функции $h(x)$ есть $[3, +\infty)$.
Ответ: $[3, +\infty)$.

в) Найдем множество значений функции $g(x) = \sqrt[4]{x^2 + 4x + 85}$. Для этого найдем наименьшее значение подкоренного выражения $f(x) = x^2 + 4x + 85$, выделив полный квадрат: $x^2 + 4x + 85 = (x^2 + 2 \cdot x \cdot 2 + 4) - 4 + 85 = (x+2)^2 + 81$. Наименьшее значение выражения $(x+2)^2$ равно 0 (при $x=-2$), следовательно, наименьшее значение $f(x)$ равно 81. Множество значений подкоренного выражения — $[81, +\infty)$. Так как функция $y=\sqrt[4]{z}$ возрастающая, ее наименьшее значение будет $\sqrt[4]{81}=3$. Таким образом, множество значений функции $g(x)$ есть $[3, +\infty)$.
Ответ: $[3, +\infty)$.

г) Найдем множество значений функции $h(x) = \sqrt[6]{x^2 - 2x + 65}$. Преобразуем подкоренное выражение $f(x) = x^2 - 2x + 65$ путем выделения полного квадрата: $x^2 - 2x + 65 = (x^2 - 2x + 1) - 1 + 65 = (x-1)^2 + 64$. Наименьшее значение $f(x)$ равно 64 (при $x=1$). Множество значений $f(x)$ — $[64, +\infty)$. Функция $y=\sqrt[6]{z}$ возрастающая, поэтому ее наименьшее значение равно $\sqrt[6]{64}=2$. Множество значений функции $h(x)$ есть $[2, +\infty)$.
Ответ: $[2, +\infty)$.

д) Рассмотрим функцию $g(x) = \sqrt[5]{x^2 - 6x + 41}$. Найдем наименьшее значение подкоренного выражения $f(x) = x^2 - 6x + 41$. Выделим полный квадрат: $x^2 - 6x + 41 = (x^2 - 6x + 9) - 9 + 41 = (x-3)^2 + 32$. Наименьшее значение $f(x)$ равно 32 (при $x=3$). Множество значений $f(x)$ — $[32, +\infty)$. Функция $y=\sqrt[5]{z}$ (корень нечетной степени) является возрастающей на всей числовой оси. Следовательно, ее наименьшее значение на промежутке $[32, +\infty)$ будет $\sqrt[5]{32} = 2$. Таким образом, множество значений функции $g(x)$ есть $[2, +\infty)$.
Ответ: $[2, +\infty)$.

е) Найдем множество значений функции $g(x) = \sqrt[8]{256 - (x+3)^2}$. Так как корень четной степени, подкоренное выражение $f(x)=256 - (x+3)^2$ должно быть неотрицательным. Выражение $(x+3)^2$ всегда неотрицательно, $(x+3)^2 \ge 0$, поэтому $-(x+3)^2 \le 0$. Максимальное значение подкоренного выражения достигается, когда $(x+3)^2$ минимально, то есть равно 0 (при $x=-3$). Это значение равно $256 - 0 = 256$. Минимальное значение подкоренного выражения равно 0, так как оно не может быть отрицательным. Таким образом, множество значений подкоренного выражения — это отрезок $[0, 256]$. Функция $y=\sqrt[8]{z}$ является возрастающей. Применим ее к границам отрезка $[0, 256]$: $\sqrt[8]{0} = 0$ и $\sqrt[8]{256} = \sqrt[8]{2^8} = 2$. Следовательно, множество значений функции $g(x)$ есть $[0, 2]$.
Ответ: $[0, 2]$.

Помогло решение? Оставьте отзыв в комментариях ниже.

Присоединяйтесь к Телеграм-группе @gdz_by_belarus

Присоединиться

Мы подготовили для вас ответ c подробным объяснением домашего задания по алгебре за 10 класс, для упражнения номер 21.2 расположенного на странице 106 к сборнику задач 2020 года издания для учащихся школ и гимназий.

Теперь на нашем сайте ГДЗ.ТОП вы всегда легко и бесплатно найдёте условие с правильным ответом на вопрос «Как решить ДЗ» и «Как сделать» задание по алгебре к упражнению №21.2 (с. 106), авторов: Арефьева (Ирина Глебовна), Пирютко (Ольга Николаевна), базовый и повышенный уровень обучения учебного пособия издательства Народная асвета.