Номер 22.2, страница 109 - гдз по алгебре 10 класс сборник задач Арефьева, Пирютко

Алгебра, 10 класс Сборник задач, авторы: Арефьева Ирина Глебовна, Пирютко Ольга Николаевна, издательство Народная асвета, Минск, 2020, белого цвета

Авторы: Арефьева И. Г., Пирютко О. Н.

Тип: Сборник задач

Издательство: Народная асвета

Год издания: 2020 - 2026

Уровень обучения: базовый и повышенный

Цвет обложки: белый, голубой с графиком

Допущено Министерством образования Республики Беларусь

Популярные ГДЗ в 10 классе

Глава 4. Корень n-й степени из числа. Параграф 22. Иррациональные уравнения - номер 22.2, страница 109.

№22.2 (с. 109)
Условие. №22.2 (с. 109)
скриншот условия
Алгебра, 10 класс Сборник задач, авторы: Арефьева Ирина Глебовна, Пирютко Ольга Николаевна, издательство Народная асвета, Минск, 2020, белого цвета, страница 109, номер 22.2, Условие

22.2. Примените свойство о равенстве произведения нулю и решите уравнение:

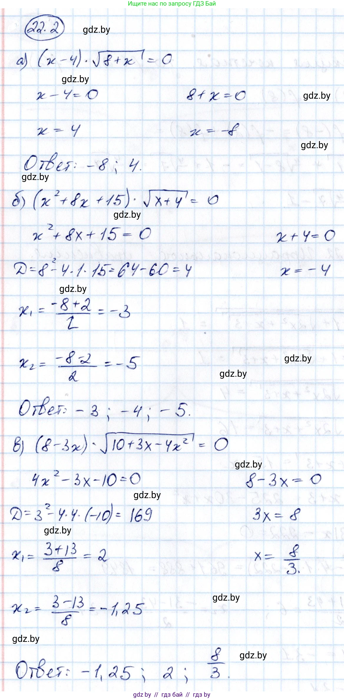
a) $(x - 4)\sqrt{8 + x} = 0;$

б) $(x^2 + 8x + 15)\sqrt{x + 4} = 0;$

в) $(8 - 3x)\sqrt{10 + 3x - 4x^2} = 0;$

г) $(1 - 2x)\sqrt{x + 3} = 1 - 2x;$

д) $(x + 1)\sqrt{x^2 + x - 2} = 2x + 2;$

е) $\sqrt{16 - x^2}\sqrt{x^2 - 3x - 10} = 0.$

Решение. №22.2 (с. 109)
Алгебра, 10 класс Сборник задач, авторы: Арефьева Ирина Глебовна, Пирютко Ольга Николаевна, издательство Народная асвета, Минск, 2020, белого цвета, страница 109, номер 22.2, Решение Алгебра, 10 класс Сборник задач, авторы: Арефьева Ирина Глебовна, Пирютко Ольга Николаевна, издательство Народная асвета, Минск, 2020, белого цвета, страница 109, номер 22.2, Решение (продолжение 2)
Решение 2. №22.2 (с. 109)

а) Произведение $(x-4)\sqrt{8+x}$ равно нулю, когда хотя бы один из множителей равен нулю, а другие при этом имеют смысл (определены).
Найдём область допустимых значений (ОДЗ) уравнения. Выражение под корнем должно быть неотрицательным:
$8+x \ge 0 \implies x \ge -8$.
Теперь приравняем каждый множитель к нулю:
1) $x - 4 = 0 \implies x = 4$. Этот корень удовлетворяет ОДЗ, так как $4 \ge -8$.
2) $\sqrt{8+x} = 0 \implies 8+x = 0 \implies x = -8$. Этот корень также удовлетворяет ОДЗ, так как $-8 \ge -8$.
Следовательно, оба значения являются корнями уравнения.
Ответ: -8; 4.

б) Произведение $(x^2+8x+15)\sqrt{x+4}$ равно нулю, когда один из множителей равен нулю, а другой при этом определён.
ОДЗ: $x+4 \ge 0 \implies x \ge -4$.
Рассмотрим два случая:
1) $x^2+8x+15 = 0$.
Решим это квадратное уравнение. По теореме Виета:
$x_1 + x_2 = -8$
$x_1 \cdot x_2 = 15$
Корни: $x_1 = -3$, $x_2 = -5$.
2) $\sqrt{x+4} = 0 \implies x+4=0 \implies x_3 = -4$.
Теперь проверим, какие из найденных корней удовлетворяют ОДЗ ($x \ge -4$):
$x_1 = -3$: $-3 \ge -4$ (верно), корень подходит.
$x_2 = -5$: $-5 \ge -4$ (неверно), это посторонний корень.
$x_3 = -4$: $-4 \ge -4$ (верно), корень подходит.
Ответ: -4; -3.

в) Произведение $(8-3x)\sqrt{10+3x-4x^2}$ равно нулю, когда один из множителей равен нулю, а другой при этом определён.
ОДЗ: $10+3x-4x^2 \ge 0$.
Для решения неравенства найдём корни квадратного трёхчлена $-4x^2+3x+10=0$ (или $4x^2-3x-10=0$).
Дискриминант $D = (-3)^2 - 4 \cdot 4 \cdot (-10) = 9 + 160 = 169 = 13^2$.
$x_{1,2} = \frac{3 \pm \sqrt{169}}{2 \cdot 4} = \frac{3 \pm 13}{8}$.
$x_1 = \frac{3+13}{8} = \frac{16}{8} = 2$.
$x_2 = \frac{3-13}{8} = \frac{-10}{8} = -\frac{5}{4}$.
Парабола $y = -4x^2+3x+10$ имеет ветви, направленные вниз, поэтому она неотрицательна между корнями. ОДЗ: $x \in [-\frac{5}{4}; 2]$.
Рассмотрим два случая:
1) $8 - 3x = 0 \implies 3x=8 \implies x = \frac{8}{3}$.
2) $\sqrt{10+3x-4x^2} = 0 \implies 10+3x-4x^2 = 0$. Корни этого уравнения: $x=2$ и $x = -\frac{5}{4}$.
Проверим найденные значения по ОДЗ ($x \in [-\frac{5}{4}; 2]$):
$x = \frac{8}{3} = 2\frac{2}{3}$. Этот корень не входит в ОДЗ, так как $2\frac{2}{3} > 2$.
$x = 2$ удовлетворяет ОДЗ.
$x = -\frac{5}{4}$ удовлетворяет ОДЗ.
Ответ: -1$\frac{1}{4}$; 2.

г) Перенесём все члены уравнения в левую часть и вынесем общий множитель за скобки:
$(1-2x)\sqrt{x+3} - (1-2x) = 0$
$(1-2x)(\sqrt{x+3} - 1) = 0$
ОДЗ: $x+3 \ge 0 \implies x \ge -3$.
Произведение равно нулю, когда один из множителей равен нулю:
1) $1 - 2x = 0 \implies 2x=1 \implies x = \frac{1}{2}$. Корень удовлетворяет ОДЗ ($\frac{1}{2} \ge -3$).
2) $\sqrt{x+3} - 1 = 0 \implies \sqrt{x+3} = 1 \implies x+3=1^2 \implies x=-2$. Корень удовлетворяет ОДЗ ($-2 \ge -3$).
Ответ: -2; $\frac{1}{2}$.

д) Перенесём все члены в левую часть и преобразуем уравнение:
$(x+1)\sqrt{x^2+x-2} - (2x+2) = 0$
$(x+1)\sqrt{x^2+x-2} - 2(x+1) = 0$
Вынесем общий множитель $(x+1)$ за скобки:
$(x+1)(\sqrt{x^2+x-2} - 2) = 0$
ОДЗ: $x^2+x-2 \ge 0$. Корнями уравнения $x^2+x-2=0$ являются $x_1=1$ и $x_2=-2$. Парабола $y=x^2+x-2$ имеет ветви вверх, поэтому неравенство выполняется при $x \in (-\infty; -2] \cup [1; \infty)$.
Рассмотрим два случая:
1) $x+1 = 0 \implies x = -1$. Этот корень не входит в ОДЗ, так как $-1 \notin (-\infty; -2] \cup [1; \infty)$.
2) $\sqrt{x^2+x-2} - 2 = 0 \implies \sqrt{x^2+x-2}=2 \implies x^2+x-2 = 4 \implies x^2+x-6=0$.
Корнями этого квадратного уравнения являются $x_1=2$ и $x_2=-3$.
Проверим эти корни по ОДЗ:
$x=2$ удовлетворяет ОДЗ ($2 \in [1; \infty)$).
$x=-3$ удовлетворяет ОДЗ ($-3 \in (-\infty; -2]$).
Ответ: -3; 2.

е) Произведение $\sqrt{16-x^2}\sqrt{x^2-3x-10}$ равно нулю, когда хотя бы один из множителей равен нулю, а другой при этом определён.
ОДЗ уравнения определяется системой неравенств:
$\begin{cases} 16-x^2 \ge 0 \\ x^2-3x-10 \ge 0 \end{cases}$
1) $16-x^2 \ge 0 \implies x^2 \le 16 \implies -4 \le x \le 4$, т.е. $x \in [-4; 4]$.
2) $x^2-3x-10 \ge 0$. Корнями уравнения $x^2-3x-10=0$ являются $x_1=5$ и $x_2=-2$. Ветви параболы направлены вверх, поэтому неравенство выполняется при $x \in (-\infty; -2] \cup [5; \infty)$.
Общее ОДЗ является пересечением этих двух множеств: $x \in [-4; 4] \cap ((-\infty; -2] \cup [5; \infty))$, что даёт $x \in [-4; -2]$.
Теперь приравняем каждый множитель к нулю:
1) $\sqrt{16-x^2} = 0 \implies 16-x^2=0 \implies x^2=16 \implies x=\pm 4$.
2) $\sqrt{x^2-3x-10} = 0 \implies x^2-3x-10=0 \implies x=5$ или $x=-2$.
Проверим найденные значения по ОДЗ ($x \in [-4; -2]$):
$x=4$: не входит в ОДЗ.
$x=-4$: входит в ОДЗ.
$x=5$: не входит в ОДЗ.
$x=-2$: входит в ОДЗ.
Ответ: -4; -2.

Помогло решение? Оставьте отзыв в комментариях ниже.

Присоединяйтесь к Телеграм-группе @gdz_by_belarus

Присоединиться

Мы подготовили для вас ответ c подробным объяснением домашего задания по алгебре за 10 класс, для упражнения номер 22.2 расположенного на странице 109 к сборнику задач 2020 года издания для учащихся школ и гимназий.

Теперь на нашем сайте ГДЗ.ТОП вы всегда легко и бесплатно найдёте условие с правильным ответом на вопрос «Как решить ДЗ» и «Как сделать» задание по алгебре к упражнению №22.2 (с. 109), авторов: Арефьева (Ирина Глебовна), Пирютко (Ольга Николаевна), базовый и повышенный уровень обучения учебного пособия издательства Народная асвета.