Номер 23.13, страница 118 - гдз по алгебре 10 класс сборник задач Арефьева, Пирютко

Алгебра, 10 класс Сборник задач, авторы: Арефьева Ирина Глебовна, Пирютко Ольга Николаевна, издательство Народная асвета, Минск, 2020, белого цвета

Авторы: Арефьева И. Г., Пирютко О. Н.

Тип: Сборник задач

Издательство: Народная асвета

Год издания: 2020 - 2026

Уровень обучения: базовый и повышенный

Цвет обложки: белый, голубой с графиком

Допущено Министерством образования Республики Беларусь

Популярные ГДЗ в 10 классе

Глава 4. Корень n-й степени из числа. Параграф 23. Иррациональные неравенства - номер 23.13, страница 118.

№23.13 (с. 118)
Условие. №23.13 (с. 118)
скриншот условия
Алгебра, 10 класс Сборник задач, авторы: Арефьева Ирина Глебовна, Пирютко Ольга Николаевна, издательство Народная асвета, Минск, 2020, белого цвета, страница 118, номер 23.13, Условие

23.13. Решите неравенство:

а) $ \sqrt[3]{x+5} < \sqrt[3]{6}; $

б) $ \sqrt[5]{7-x} \geq -1; $

в) $ \sqrt[3]{x^2-x-10} \leq -2; $

г) $ \sqrt[3]{5x^2-13x-33} > -3; $

д) $ \sqrt[3]{2x-1} < \sqrt[3]{4x+5}; $

е) $ \sqrt[5]{6-x} \geq \sqrt[5]{1+3x}; $

ж) $ \sqrt[7]{x^2-3x-13} \leq \sqrt[7]{x^2-4x-1}; $

з) $ \sqrt[3]{2x^2-6x+1} > \sqrt[3]{x^2-4}. $

Решение. №23.13 (с. 118)
Алгебра, 10 класс Сборник задач, авторы: Арефьева Ирина Глебовна, Пирютко Ольга Николаевна, издательство Народная асвета, Минск, 2020, белого цвета, страница 118, номер 23.13, Решение Алгебра, 10 класс Сборник задач, авторы: Арефьева Ирина Глебовна, Пирютко Ольга Николаевна, издательство Народная асвета, Минск, 2020, белого цвета, страница 118, номер 23.13, Решение (продолжение 2)
Решение 2. №23.13 (с. 118)

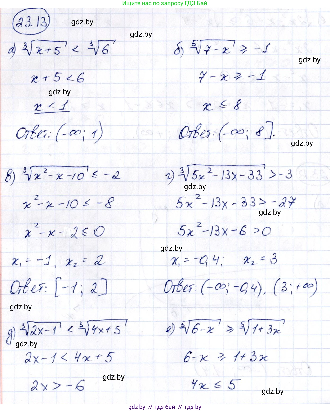
а) Дано неравенство $\sqrt[3]{x+5} < \sqrt[3]{6}$. Так как функция $y=\sqrt[3]{t}$ является монотонно возрастающей на всей числовой оси, данное неравенство равносильно неравенству для подкоренных выражений с тем же знаком. Возведем обе части в куб:
$(\sqrt[3]{x+5})^3 < (\sqrt[3]{6})^3$
$x+5 < 6$
$x < 6 - 5$
$x < 1$
Ответ: $x \in (-\infty; 1)$.

б) Дано неравенство $\sqrt[5]{7-x} \ge -1$. Функция $y=\sqrt[5]{t}$ является монотонно возрастающей. Возведем обе части неравенства в пятую степень, сохранив знак неравенства.
$(\sqrt[5]{7-x})^5 \ge (-1)^5$
$7-x \ge -1$
$7+1 \ge x$
$8 \ge x$
Ответ: $x \in (-\infty; 8]$.

в) Дано неравенство $\sqrt[3]{x^2 - x - 10} \le -2$. Возведем обе части неравенства в третью степень. Так как степень нечетная, знак неравенства сохраняется.
$(\sqrt[3]{x^2 - x - 10})^3 \le (-2)^3$
$x^2 - x - 10 \le -8$
$x^2 - x - 2 \le 0$
Найдем корни уравнения $x^2 - x - 2 = 0$. По теореме Виета, корни $x_1 = 2$ и $x_2 = -1$. Парабола $y = x^2 - x - 2$ направлена ветвями вверх, поэтому неравенство $\le 0$ выполняется между корнями (включая их).
Ответ: $x \in [-1; 2]$.

г) Дано неравенство $\sqrt[3]{5x^2 - 13x - 33} > -3$. Возведем обе части неравенства в куб:
$(\sqrt[3]{5x^2 - 13x - 33})^3 > (-3)^3$
$5x^2 - 13x - 33 > -27$
$5x^2 - 13x - 6 > 0$
Найдем корни уравнения $5x^2 - 13x - 6 = 0$. Дискриминант $D = (-13)^2 - 4 \cdot 5 \cdot (-6) = 169 + 120 = 289 = 17^2$.
$x_{1,2} = \frac{13 \pm 17}{10}$, откуда $x_1 = 3$ и $x_2 = -\frac{4}{10} = -\frac{2}{5}$.
Парабола $y = 5x^2 - 13x - 6$ направлена ветвями вверх, поэтому неравенство $> 0$ выполняется вне интервала между корнями.
Ответ: $x \in (-\infty; -\frac{2}{5}) \cup (3; +\infty)$.

д) Дано неравенство $\sqrt[3]{2x - 1} < \sqrt[3]{4x + 5}$. Так как функция кубического корня монотонно возрастает, неравенство равносильно следующему:
$2x - 1 < 4x + 5$
$-1 - 5 < 4x - 2x$
$-6 < 2x$
$-3 < x$
Ответ: $x \in (-3; +\infty)$.

е) Дано неравенство $\sqrt[5]{6 - x} \ge \sqrt[5]{1 + 3x}$. Возводим обе части в пятую степень (нечетную), сохраняя знак неравенства:
$6 - x \ge 1 + 3x$
$6 - 1 \ge 3x + x$
$5 \ge 4x$
$x \le \frac{5}{4}$
Выделим целую часть из неправильной дроби: $\frac{5}{4} = 1\frac{1}{4}$.
Ответ: $x \in (-\infty; \mathbf{1}\frac{1}{4}]$.

ж) Дано неравенство $\sqrt[7]{x^2 - 3x - 13} \le \sqrt[7]{x^2 - 4x - 1}$. Функция $y=\sqrt[7]{t}$ является монотонно возрастающей. Возведем обе части в седьмую степень:
$x^2 - 3x - 13 \le x^2 - 4x - 1$
Упростим, сократив $x^2$:
$-3x - 13 \le -4x - 1$
$4x - 3x \le 13 - 1$
$x \le 12$
Ответ: $x \in (-\infty; 12]$.

з) Дано неравенство $\sqrt[3]{2x^2 - 6x + 1} > \sqrt[3]{x^2 - 4}$. Возведем обе части в третью степень:
$2x^2 - 6x + 1 > x^2 - 4$
$2x^2 - x^2 - 6x + 1 + 4 > 0$
$x^2 - 6x + 5 > 0$
Найдем корни уравнения $x^2 - 6x + 5 = 0$. По теореме Виета, корни $x_1 = 1$ и $x_2 = 5$.
Парабола $y = x^2 - 6x + 5$ направлена ветвями вверх, поэтому неравенство $> 0$ выполняется для значений $x$ вне интервала между корнями.
Ответ: $x \in (-\infty; 1) \cup (5; +\infty)$.

Помогло решение? Оставьте отзыв в комментариях ниже.

Присоединяйтесь к Телеграм-группе @gdz_by_belarus

Присоединиться

Мы подготовили для вас ответ c подробным объяснением домашего задания по алгебре за 10 класс, для упражнения номер 23.13 расположенного на странице 118 к сборнику задач 2020 года издания для учащихся школ и гимназий.

Теперь на нашем сайте ГДЗ.ТОП вы всегда легко и бесплатно найдёте условие с правильным ответом на вопрос «Как решить ДЗ» и «Как сделать» задание по алгебре к упражнению №23.13 (с. 118), авторов: Арефьева (Ирина Глебовна), Пирютко (Ольга Николаевна), базовый и повышенный уровень обучения учебного пособия издательства Народная асвета.