Номер 23.17, страница 119 - гдз по алгебре 10 класс сборник задач Арефьева, Пирютко

Алгебра, 10 класс Сборник задач, авторы: Арефьева Ирина Глебовна, Пирютко Ольга Николаевна, издательство Народная асвета, Минск, 2020, белого цвета

Авторы: Арефьева И. Г., Пирютко О. Н.

Тип: Сборник задач

Издательство: Народная асвета

Год издания: 2020 - 2026

Уровень обучения: базовый и повышенный

Цвет обложки: белый, голубой с графиком

Допущено Министерством образования Республики Беларусь

Популярные ГДЗ в 10 классе

Глава 4. Корень n-й степени из числа. Параграф 23. Иррациональные неравенства - номер 23.17, страница 119.

№23.17 (с. 119)
Условие. №23.17 (с. 119)
скриншот условия
Алгебра, 10 класс Сборник задач, авторы: Арефьева Ирина Глебовна, Пирютко Ольга Николаевна, издательство Народная асвета, Минск, 2020, белого цвета, страница 119, номер 23.17, Условие

23.17. Воспользуйтесь методом замены переменной и решите неравенство:

а) $4\sqrt{x} - 3\sqrt[4]{x} \ge 10;$

б) $x^2 - 8x - 2\sqrt{x^2 - 8x} < 3;$

в) $\frac{2x+1}{x} - 2\sqrt{\frac{2x+1}{x}} \ge 3.$

Решение. №23.17 (с. 119)
Алгебра, 10 класс Сборник задач, авторы: Арефьева Ирина Глебовна, Пирютко Ольга Николаевна, издательство Народная асвета, Минск, 2020, белого цвета, страница 119, номер 23.17, Решение Алгебра, 10 класс Сборник задач, авторы: Арефьева Ирина Глебовна, Пирютко Ольга Николаевна, издательство Народная асвета, Минск, 2020, белого цвета, страница 119, номер 23.17, Решение (продолжение 2)
Решение 2. №23.17 (с. 119)

а) $4\sqrt{x} - 3\sqrt[4]{x} \ge 10$

Область допустимых значений (ОДЗ) для данного неравенства: $x \ge 0$.

Воспользуемся методом замены переменной. Пусть $t = \sqrt[4]{x}$. Тогда $\sqrt{x} = (\sqrt[4]{x})^2 = t^2$.

Так как корень четвертой степени является неотрицательной величиной, то $t \ge 0$.

Перепишем исходное неравенство с новой переменной $t$:

$4t^2 - 3t \ge 10$

$4t^2 - 3t - 10 \ge 0$

Для решения этого квадратного неравенства найдем корни соответствующего уравнения $4t^2 - 3t - 10 = 0$.

Вычислим дискриминант: $D = b^2 - 4ac = (-3)^2 - 4 \cdot 4 \cdot (-10) = 9 + 160 = 169 = 13^2$.

Корни уравнения равны:

$t_1 = \frac{-b - \sqrt{D}}{2a} = \frac{3 - 13}{8} = \frac{-10}{8} = -\frac{5}{4}$

$t_2 = \frac{-b + \sqrt{D}}{2a} = \frac{3 + 13}{8} = \frac{16}{8} = 2$

Парабола $y = 4t^2 - 3t - 10$ имеет ветви, направленные вверх, поэтому неравенство $4t^2 - 3t - 10 \ge 0$ выполняется при $t \le -\frac{5}{4}$ или $t \ge 2$.

Учитывая ограничение $t \ge 0$, из полученных решений нам подходит только $t \ge 2$.

Теперь выполним обратную замену:

$\sqrt[4]{x} \ge 2$

Чтобы найти $x$, возведем обе части неравенства в четвертую степень:

$(\sqrt[4]{x})^4 \ge 2^4$

$x \ge 16$

Полученное решение удовлетворяет ОДЗ ($x \ge 0$).

Ответ: $x \in [16; +\infty)$.

б) $x^2 - 8x - 2\sqrt{x^2 - 8x} < 3$

ОДЗ определяется условием неотрицательности подкоренного выражения: $x^2 - 8x \ge 0$.

Решим это неравенство: $x(x-8) \ge 0$. Корни: $x=0$ и $x=8$. Ветви параболы направлены вверх, значит, решение: $x \in (-\infty; 0] \cup [8; +\infty)$.

Введем замену: пусть $t = \sqrt{x^2 - 8x}$. Тогда $x^2 - 8x = t^2$. Для переменной $t$ действует ограничение $t \ge 0$.

Неравенство принимает вид:

$t^2 - 2t < 3$

$t^2 - 2t - 3 < 0$

Найдем корни уравнения $t^2 - 2t - 3 = 0$. По теореме Виета, корни $t_1 = -1$ и $t_2 = 3$.

Так как ветви параболы $y = t^2 - 2t - 3$ направлены вверх, неравенство выполняется между корнями: $-1 < t < 3$.

С учетом ограничения $t \ge 0$, получаем двойное неравенство: $0 \le t < 3$.

Выполним обратную замену:

$0 \le \sqrt{x^2 - 8x} < 3$

Это равносильно системе из двух неравенств:

$\begin{cases} \sqrt{x^2 - 8x} \ge 0 \\ \sqrt{x^2 - 8x} < 3 \end{cases}$

Первое неравенство выполняется для всех $x$ из ОДЗ. Решим второе неравенство, возведя обе части в квадрат:

$x^2 - 8x < 9$

$x^2 - 8x - 9 < 0$

Корни уравнения $x^2 - 8x - 9 = 0$ равны $x_1 = -1$ и $x_2 = 9$.

Решение этого неравенства: $x \in (-1; 9)$.

Теперь найдем пересечение полученного решения с ОДЗ: $x \in (-1; 9) \cap ((-\infty; 0] \cup [8; +\infty))$.

Пересечение $(-1; 9)$ с $(-\infty; 0]$ дает интервал $(-1; 0]$.

Пересечение $(-1; 9)$ с $[8; +\infty)$ дает интервал $[8; 9)$.

Итоговое решение является объединением этих двух интервалов.

Ответ: $x \in (-1; 0] \cup [8; 9)$.

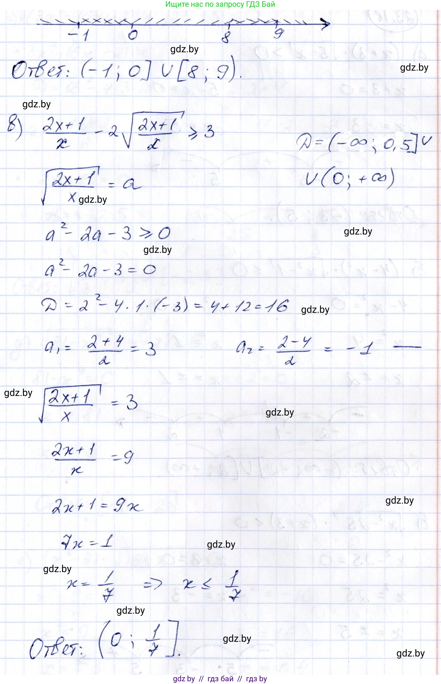
в) $\frac{2x+1}{x} - 2\sqrt{\frac{2x+1}{x}} \ge 3$

ОДЗ: знаменатель не равен нулю ($x \ne 0$) и подкоренное выражение неотрицательно ($\frac{2x+1}{x} \ge 0$).

Решим неравенство $\frac{2x+1}{x} \ge 0$ методом интервалов. Корни числителя и знаменателя: $x = -1/2$ и $x = 0$.

ОДЗ: $x \in (-\infty; -1/2] \cup (0; +\infty)$.

Сделаем замену: $t = \sqrt{\frac{2x+1}{x}}$. Тогда $\frac{2x+1}{x} = t^2$, и $t \ge 0$.

Неравенство в новых переменных:

$t^2 - 2t \ge 3$

$t^2 - 2t - 3 \ge 0$

Корни уравнения $t^2 - 2t - 3 = 0$ равны $t_1 = -1$ и $t_2 = 3$.

Решением неравенства $t^2 - 2t - 3 \ge 0$ являются $t \le -1$ или $t \ge 3$.

С учетом условия $t \ge 0$, получаем $t \ge 3$.

Вернемся к переменной $x$:

$\sqrt{\frac{2x+1}{x}} \ge 3$

Возведем обе части в квадрат:

$\frac{2x+1}{x} \ge 9$

$\frac{2x+1}{x} - 9 \ge 0$

$\frac{2x+1 - 9x}{x} \ge 0$

$\frac{1 - 7x}{x} \ge 0$

Решим это неравенство методом интервалов. Корни числителя и знаменателя: $x = 1/7$ и $x = 0$.

Знаки выражения $\frac{1-7x}{x}$ на интервалах: $(-\infty; 0): -$; $(0; 1/7): +$; $(1/7; +\infty): -$.

Неравенство выполняется при $x \in (0; 1/7]$.

Это решение полностью содержится в ОДЗ.

Ответ: $x \in (0; \frac{1}{7}]$.

Помогло решение? Оставьте отзыв в комментариях ниже.

Присоединяйтесь к Телеграм-группе @gdz_by_belarus

Присоединиться

Мы подготовили для вас ответ c подробным объяснением домашего задания по алгебре за 10 класс, для упражнения номер 23.17 расположенного на странице 119 к сборнику задач 2020 года издания для учащихся школ и гимназий.

Теперь на нашем сайте ГДЗ.ТОП вы всегда легко и бесплатно найдёте условие с правильным ответом на вопрос «Как решить ДЗ» и «Как сделать» задание по алгебре к упражнению №23.17 (с. 119), авторов: Арефьева (Ирина Глебовна), Пирютко (Ольга Николаевна), базовый и повышенный уровень обучения учебного пособия издательства Народная асвета.