Номер 23.10, страница 118 - гдз по алгебре 10 класс сборник задач Арефьева, Пирютко

Алгебра, 10 класс Сборник задач, авторы: Арефьева Ирина Глебовна, Пирютко Ольга Николаевна, издательство Народная асвета, Минск, 2020, белого цвета

Авторы: Арефьева И. Г., Пирютко О. Н.

Тип: Сборник задач

Издательство: Народная асвета

Год издания: 2020 - 2026

Уровень обучения: базовый и повышенный

Цвет обложки: белый, голубой с графиком

Допущено Министерством образования Республики Беларусь

Популярные ГДЗ в 10 классе

Глава 4. Корень n-й степени из числа. Параграф 23. Иррациональные неравенства - номер 23.10, страница 118.

№23.10 (с. 118)
Условие. №23.10 (с. 118)
скриншот условия
Алгебра, 10 класс Сборник задач, авторы: Арефьева Ирина Глебовна, Пирютко Ольга Николаевна, издательство Народная асвета, Минск, 2020, белого цвета, страница 118, номер 23.10, Условие

23.10. Решите неравенство:

a) $\sqrt{x+1} \ge \sqrt{x-1}$;

б) $\sqrt{4-x} \le \sqrt{3x-2}$;

в) $\sqrt{3x-10} > \sqrt{6-x}$;

г) $\sqrt{x+2} < \sqrt{6-x}$;

д) $\sqrt{5x+7} < \sqrt{2-3x}$;

е) $\sqrt{3+7x} < \sqrt{1-4x}$.

Решение. №23.10 (с. 118)
Алгебра, 10 класс Сборник задач, авторы: Арефьева Ирина Глебовна, Пирютко Ольга Николаевна, издательство Народная асвета, Минск, 2020, белого цвета, страница 118, номер 23.10, Решение Алгебра, 10 класс Сборник задач, авторы: Арефьева Ирина Глебовна, Пирютко Ольга Николаевна, издательство Народная асвета, Минск, 2020, белого цвета, страница 118, номер 23.10, Решение (продолжение 2)
Решение 2. №23.10 (с. 118)

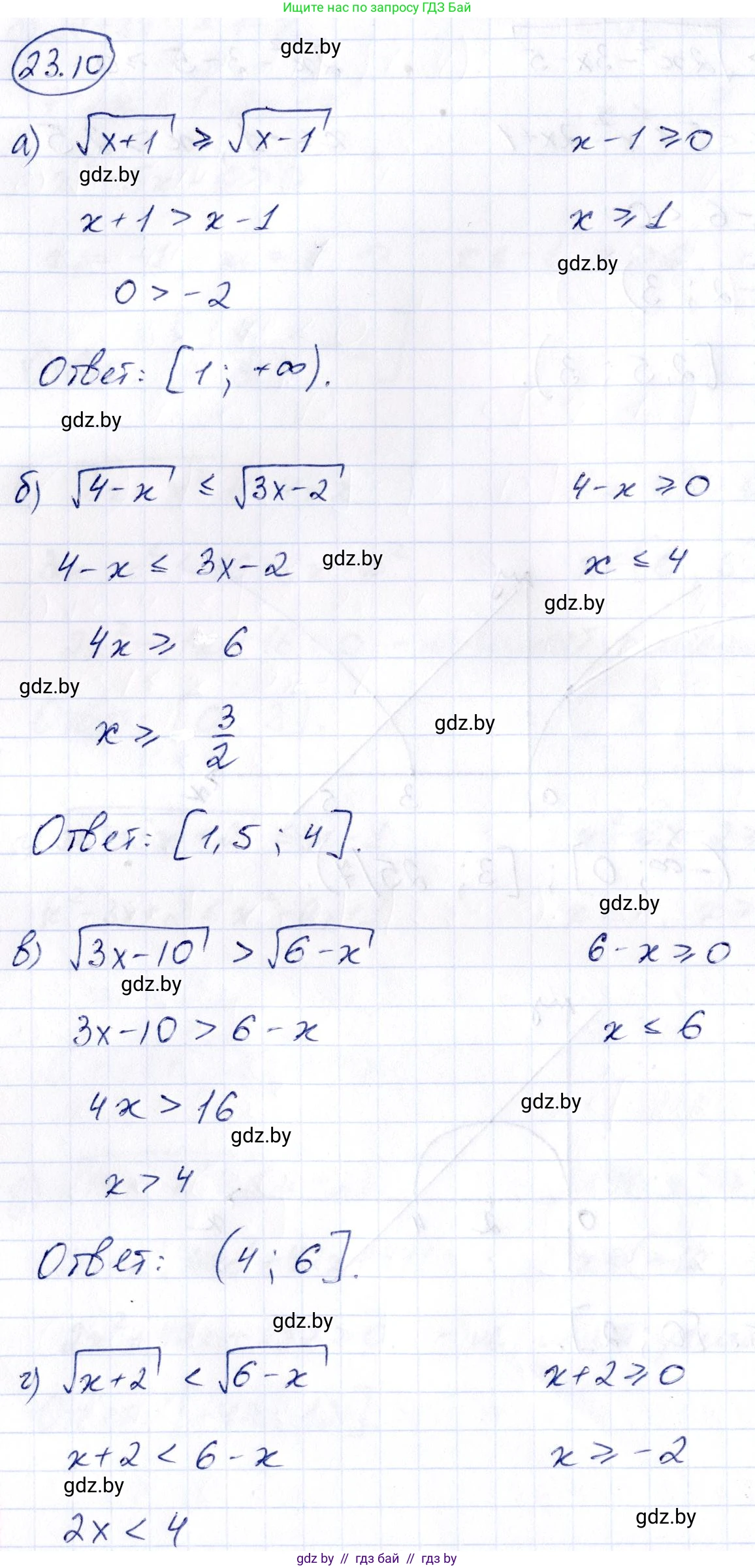
а) Решим неравенство $\sqrt{x+1} \ge \sqrt{x-1}$.
Поскольку обе части неравенства неотрицательны, оно равносильно системе, полученной возведением в квадрат обеих частей и учетом области допустимых значений (ОДЗ). Неравенство вида $\sqrt{f(x)} \ge \sqrt{g(x)}$ равносильно системе, где мы требуем, чтобы подкоренное выражение меньшей части было неотрицательным:
$ \begin{cases} x+1 \ge x-1 \\ x-1 \ge 0 \end{cases} $
Решение первого неравенства $x+1 \ge x-1$ приводит к верному утверждению $1 \ge -1$, которое выполняется для всех действительных $x$.
Решение второго неравенства $x-1 \ge 0$ дает $x \ge 1$.
Пересечением решений ($x \in \mathbb{R}$ и $x \ge 1$) является $x \ge 1$.
Ответ: $[1, +\infty)$.

б) Решим неравенство $\sqrt{4-x} \le \sqrt{3x-2}$.
Неравенство вида $\sqrt{f(x)} \le \sqrt{g(x)}$ равносильно системе, где мы требуем, чтобы подкоренное выражение меньшей части было неотрицательным:
$ \begin{cases} 4-x \le 3x-2 \\ 4-x \ge 0 \end{cases} $
Решаем первое неравенство: $4+2 \le 3x+x \implies 6 \le 4x \implies x \ge \frac{6}{4} \implies x \ge \frac{3}{2}$.
Решаем второе неравенство: $4-x \ge 0 \implies x \le 4$.
Находим пересечение полученных решений: $[\frac{3}{2}, 4]$. Выделим целую часть из неправильной дроби: $\frac{3}{2} = 1\frac{1}{2}$.
Ответ: $[1\frac{1}{2}, 4]$.

в) Решим неравенство $\sqrt{3x-10} > \sqrt{6-x}$.
Данное неравенство равносильно системе:
$ \begin{cases} 3x-10 > 6-x \\ 6-x \ge 0 \end{cases} $
Решаем первое неравенство: $3x+x > 6+10 \implies 4x > 16 \implies x > 4$.
Решаем второе неравенство: $6-x \ge 0 \implies x \le 6$.
Находим пересечение решений $x > 4$ и $x \le 6$.
Ответ: $(4, 6]$.

г) Решим неравенство $\sqrt{x+2} < \sqrt{6-x}$.
Данное неравенство равносильно системе:
$ \begin{cases} x+2 < 6-x \\ x+2 \ge 0 \end{cases} $
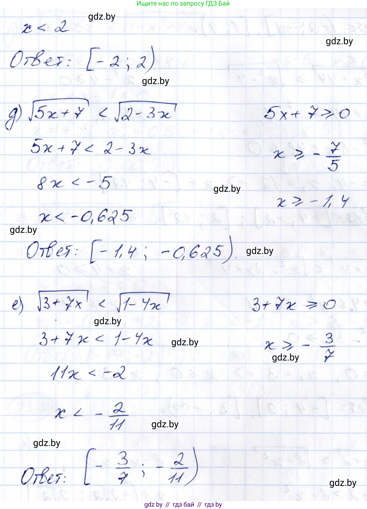
Решаем первое неравенство: $x+x < 6-2 \implies 2x < 4 \implies x < 2$.
Решаем второе неравенство: $x+2 \ge 0 \implies x \ge -2$.
Находим пересечение решений $x < 2$ и $x \ge -2$.
Ответ: $[-2, 2)$.

д) Решим неравенство $\sqrt{5x+7} < \sqrt{2-3x}$.
Данное неравенство равносильно системе:
$ \begin{cases} 5x+7 < 2-3x \\ 5x+7 \ge 0 \end{cases} $
Решаем первое неравенство: $5x+3x < 2-7 \implies 8x < -5 \implies x < -\frac{5}{8}$.
Решаем второе неравенство: $5x \ge -7 \implies x \ge -\frac{7}{5}$.
Находим пересечение решений $x \ge -\frac{7}{5}$ и $x < -\frac{5}{8}$. Выделим целую часть из неправильной дроби: $-\frac{7}{5} = -1\frac{2}{5}$.
Ответ: $[-1\frac{2}{5}, -\frac{5}{8})$.

е) Решим неравенство $\sqrt{3+7x} < \sqrt{1-4x}$.
Данное неравенство равносильно системе:
$ \begin{cases} 3+7x < 1-4x \\ 3+7x \ge 0 \end{cases} $
Решаем первое неравенство: $7x+4x < 1-3 \implies 11x < -2 \implies x < -\frac{2}{11}$.
Решаем второе неравенство: $7x \ge -3 \implies x \ge -\frac{3}{7}$.
Для нахождения пересечения сравним дроби: $-\frac{3}{7} \approx -0.428$ и $-\frac{2}{11} \approx -0.182$. Так как $-0.428 < -0.182$, то $-\frac{3}{7} < -\frac{2}{11}$.
Решением является промежуток, где $x$ одновременно больше или равен $-\frac{3}{7}$ и меньше $-\frac{2}{11}$.
Ответ: $[-\frac{3}{7}, -\frac{2}{11})$.

Помогло решение? Оставьте отзыв в комментариях ниже.

Присоединяйтесь к Телеграм-группе @gdz_by_belarus

Присоединиться

Мы подготовили для вас ответ c подробным объяснением домашего задания по алгебре за 10 класс, для упражнения номер 23.10 расположенного на странице 118 к сборнику задач 2020 года издания для учащихся школ и гимназий.

Теперь на нашем сайте ГДЗ.ТОП вы всегда легко и бесплатно найдёте условие с правильным ответом на вопрос «Как решить ДЗ» и «Как сделать» задание по алгебре к упражнению №23.10 (с. 118), авторов: Арефьева (Ирина Глебовна), Пирютко (Ольга Николаевна), базовый и повышенный уровень обучения учебного пособия издательства Народная асвета.