Номер 25.2, страница 122 - гдз по алгебре 10 класс сборник задач Арефьева, Пирютко

Алгебра, 10 класс Сборник задач, авторы: Арефьева Ирина Глебовна, Пирютко Ольга Николаевна, издательство Народная асвета, Минск, 2020, белого цвета

Авторы: Арефьева И. Г., Пирютко О. Н.

Тип: Сборник задач

Издательство: Народная асвета

Год издания: 2020 - 2026

Уровень обучения: базовый и повышенный

Цвет обложки: белый, голубой с графиком

Допущено Министерством образования Республики Беларусь

Глава 5. Производная. Параграф 25. Правила вычисления производных - номер 25.2, страница 122.

№25.2 (с. 122)
Условие. №25.2 (с. 122)
скриншот условия
Алгебра, 10 класс Сборник задач, авторы: Арефьева Ирина Глебовна, Пирютко Ольга Николаевна, издательство Народная асвета, Минск, 2020, белого цвета, страница 122, номер 25.2, Условие

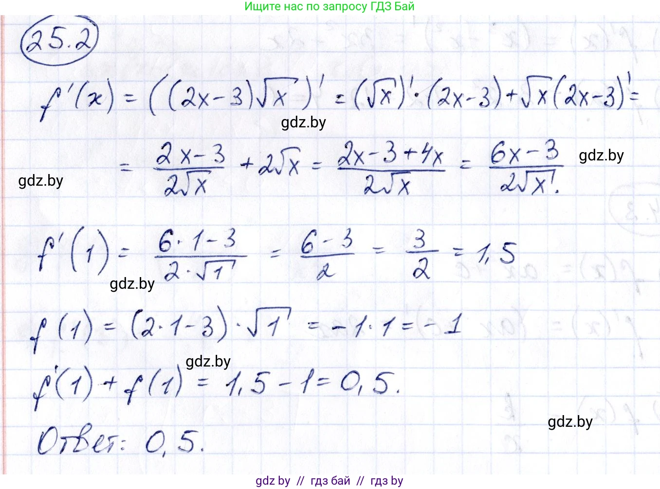
25.2. Известно, что $f(x) = (2x - 3)\sqrt{x}$. Найтите $f'(1) + f(1)$.

Решение. №25.2 (с. 122)
Алгебра, 10 класс Сборник задач, авторы: Арефьева Ирина Глебовна, Пирютко Ольга Николаевна, издательство Народная асвета, Минск, 2020, белого цвета, страница 122, номер 25.2, Решение
Решение 2. №25.2 (с. 122)

Для решения задачи необходимо последовательно вычислить значение функции $f(1)$, значение производной $f'(1)$ и затем найти их сумму.

1. Вычисление $f(1)$
Дана функция $f(x) = (2x - 3)\sqrt{x}$.
Подставим в неё значение $x=1$:
$f(1) = (2 \cdot 1 - 3)\sqrt{1} = (2 - 3) \cdot 1 = -1 \cdot 1 = -1$.
Ответ: -1.

2. Вычисление $f'(1)$
Сначала найдём производную функции $f(x)$. Так как функция представляет собой произведение двух функций $u(x) = 2x-3$ и $v(x) = \sqrt{x}$, воспользуемся правилом дифференцирования произведения: $(uv)' = u'v + uv'$.
Найдём производные для $u(x)$ и $v(x)$:
$u'(x) = (2x-3)' = 2$
$v'(x) = (\sqrt{x})' = (x^{1/2})' = \frac{1}{2}x^{-1/2} = \frac{1}{2\sqrt{x}}$
Теперь найдём производную $f'(x)$:
$f'(x) = u'v + uv' = 2\sqrt{x} + (2x-3) \cdot \frac{1}{2\sqrt{x}}$
Вычислим значение производной в точке $x=1$:
$f'(1) = 2\sqrt{1} + (2 \cdot 1 - 3) \cdot \frac{1}{2\sqrt{1}} = 2 \cdot 1 + (-1) \cdot \frac{1}{2} = 2 - \frac{1}{2} = \frac{3}{2}$.
Дробь $\frac{3}{2}$ является неправильной. Представим её в виде смешанного числа: $1\frac{1}{2}$.
Ответ: 1$\frac{1}{2}$.

3. Вычисление $f'(1) + f(1)$
Сложим полученные на предыдущих шагах значения:
$f'(1) + f(1) = \frac{3}{2} + (-1) = \frac{3}{2} - 1 = \frac{3}{2} - \frac{2}{2} = \frac{1}{2}$.
Ответ: $\frac{1}{2}$.

Помогло решение? Оставьте отзыв в комментариях ниже.

Присоединяйтесь к Телеграм-группе @gdz_by_belarus

Присоединиться

Мы подготовили для вас ответ c подробным объяснением домашего задания по алгебре за 10 класс, для упражнения номер 25.2 расположенного на странице 122 к сборнику задач 2020 года издания для учащихся школ и гимназий.

Теперь на нашем сайте ГДЗ.ТОП вы всегда легко и бесплатно найдёте условие с правильным ответом на вопрос «Как решить ДЗ» и «Как сделать» задание по алгебре к упражнению №25.2 (с. 122), авторов: Арефьева (Ирина Глебовна), Пирютко (Ольга Николаевна), базовый и повышенный уровень обучения учебного пособия издательства Народная асвета.