Номер 25.6, страница 122 - гдз по алгебре 10 класс сборник задач Арефьева, Пирютко

Алгебра, 10 класс Сборник задач, авторы: Арефьева Ирина Глебовна, Пирютко Ольга Николаевна, издательство Народная асвета, Минск, 2020, белого цвета

Авторы: Арефьева И. Г., Пирютко О. Н.

Тип: Сборник задач

Издательство: Народная асвета

Год издания: 2020 - 2026

Уровень обучения: базовый и повышенный

Цвет обложки: белый, голубой с графиком

Допущено Министерством образования Республики Беларусь

Популярные ГДЗ в 10 классе

Глава 5. Производная. Параграф 25. Правила вычисления производных - номер 25.6, страница 122.

№25.6 (с. 122)
Условие. №25.6 (с. 122)
скриншот условия
Алгебра, 10 класс Сборник задач, авторы: Арефьева Ирина Глебовна, Пирютко Ольга Николаевна, издательство Народная асвета, Минск, 2020, белого цвета, страница 122, номер 25.6, Условие

25.6. Найдите сумму корней уравнения $f'(x) = f(x)$, если

$f(x) = \frac{x}{2-x} + 2.$

Решение. №25.6 (с. 122)
Алгебра, 10 класс Сборник задач, авторы: Арефьева Ирина Глебовна, Пирютко Ольга Николаевна, издательство Народная асвета, Минск, 2020, белого цвета, страница 122, номер 25.6, Решение Алгебра, 10 класс Сборник задач, авторы: Арефьева Ирина Глебовна, Пирютко Ольга Николаевна, издательство Народная асвета, Минск, 2020, белого цвета, страница 122, номер 25.6, Решение (продолжение 2)
Решение 2. №25.6 (с. 122)

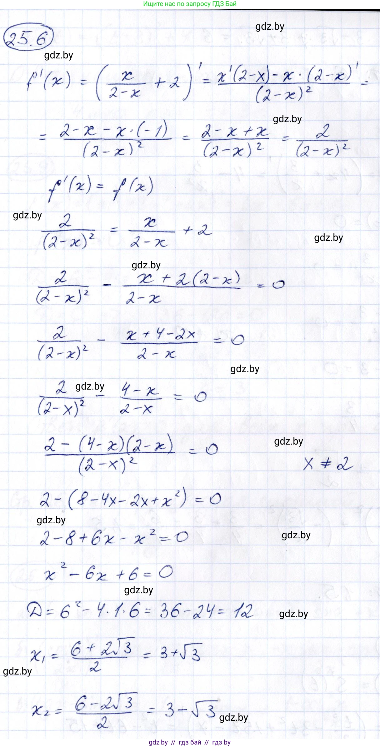
Для решения задачи нам необходимо найти производную функции $f(x)$, приравнять ее к самой функции $f(x)$ и найти сумму корней получившегося уравнения. Область определения функции $f(x)$ и ее производной $f'(x)$ — все действительные числа, кроме $x=2$.

1. Находим производную функции $f(x) = \frac{x}{2-x} + 2$.

Используем правило дифференцирования частного $\left(\frac{u}{v}\right)' = \frac{u'v - uv'}{v^2}$ и то, что производная константы равна нулю:

$f'(x) = \left(\frac{x}{2-x}\right)' + (2)' = \frac{(x)'(2-x) - x(2-x)'}{(2-x)^2} + 0$

Поскольку $(x)'=1$ и $(2-x)'=-1$, получаем:

$f'(x) = \frac{1 \cdot (2-x) - x \cdot (-1)}{(2-x)^2} = \frac{2-x+x}{(2-x)^2} = \frac{2}{(2-x)^2}$

2. Составляем и решаем уравнение $f'(x) = f(x)$:

$\frac{2}{(2-x)^2} = \frac{x}{2-x} + 2$

Приводим правую часть к общему знаменателю $(2-x)$:

$\frac{2}{(2-x)^2} = \frac{x + 2(2-x)}{2-x} = \frac{x + 4 - 2x}{2-x} = \frac{4-x}{2-x}$

Получаем уравнение:

$\frac{2}{(2-x)^2} = \frac{4-x}{2-x}$

Умножим обе части на $(2-x)^2$, учитывая, что $x \neq 2$:

$2 = (4-x)(2-x)$

Раскроем скобки в правой части:

$2 = 8 - 4x - 2x + x^2$

Приведем уравнение к стандартному квадратному виду $ax^2 + bx + c = 0$:

$x^2 - 6x + 8 - 2 = 0$

$x^2 - 6x + 6 = 0$

3. Находим сумму корней полученного уравнения.

Согласно теореме Виета, для квадратного уравнения $ax^2+bx+c=0$ сумма корней $x_1+x_2$ равна $-\frac{b}{a}$. Перед применением теоремы убедимся, что действительные корни существуют. Для этого вычислим дискриминант:

$D = b^2 - 4ac = (-6)^2 - 4 \cdot 1 \cdot 6 = 36 - 24 = 12$

Поскольку $D > 0$, уравнение имеет два различных действительных корня. Сумма этих корней равна:

$x_1+x_2 = -\frac{-6}{1} = 6$

25.6. Ответ: 6

Помогло решение? Оставьте отзыв в комментариях ниже.

Присоединяйтесь к Телеграм-группе @gdz_by_belarus

Присоединиться

Мы подготовили для вас ответ c подробным объяснением домашего задания по алгебре за 10 класс, для упражнения номер 25.6 расположенного на странице 122 к сборнику задач 2020 года издания для учащихся школ и гимназий.

Теперь на нашем сайте ГДЗ.ТОП вы всегда легко и бесплатно найдёте условие с правильным ответом на вопрос «Как решить ДЗ» и «Как сделать» задание по алгебре к упражнению №25.6 (с. 122), авторов: Арефьева (Ирина Глебовна), Пирютко (Ольга Николаевна), базовый и повышенный уровень обучения учебного пособия издательства Народная асвета.