Номер 10.10, страница 52 - гдз по алгебре 10 класс сборник задач Арефьева, Пирютко

Алгебра, 10 класс Сборник задач, авторы: Арефьева Ирина Глебовна, Пирютко Ольга Николаевна, издательство Народная асвета, Минск, 2020, белого цвета

Авторы: Арефьева И. Г., Пирютко О. Н.

Тип: Сборник задач

Издательство: Народная асвета

Год издания: 2020 - 2026

Уровень обучения: базовый и повышенный

Цвет обложки: белый, голубой с графиком

Допущено Министерством образования Республики Беларусь

Популярные ГДЗ в 10 классе

Глава 3. Тригонометрия. Параграф 10. Функции y=sin(x) и y=cos(x). Их свойства и графики - номер 10.10, страница 52.

№10.10 (с. 52)
Условие. №10.10 (с. 52)
скриншот условия
Алгебра, 10 класс Сборник задач, авторы: Арефьева Ирина Глебовна, Пирютко Ольга Николаевна, издательство Народная асвета, Минск, 2020, белого цвета, страница 52, номер 10.10, Условие

10.10. Найдите множество значений функции:

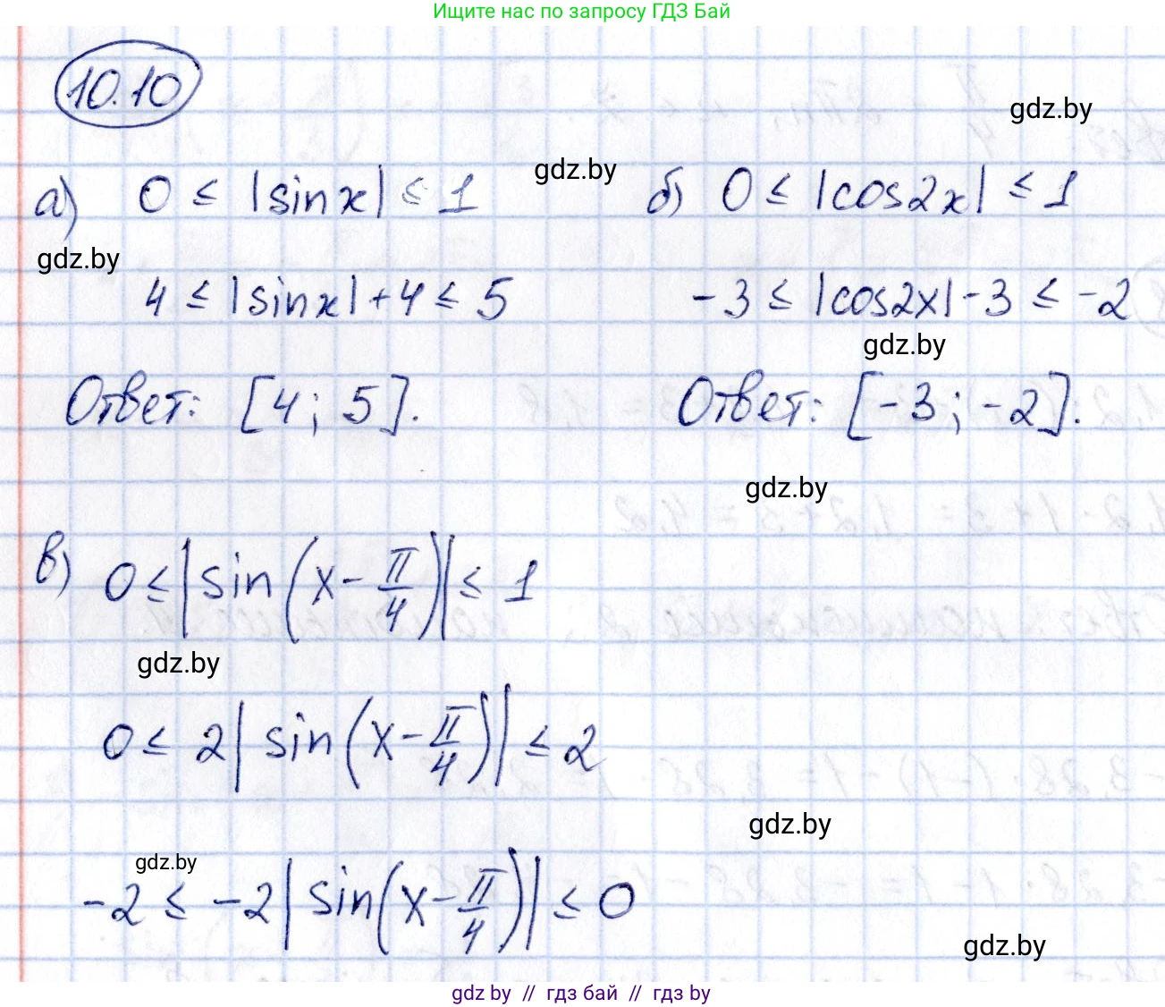
a) $y = |\sin x| + 4;$

б) $y = |\cos 2x| - 3;$

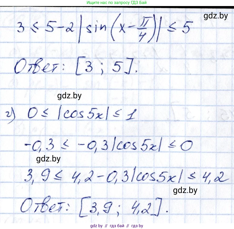
в) $y = 5 - 2|\sin \left(x - \frac{\pi}{4}\right)|;$

г) $y = 4,2 - 0,3|\cos 5x|.$

Решение. №10.10 (с. 52)
Алгебра, 10 класс Сборник задач, авторы: Арефьева Ирина Глебовна, Пирютко Ольга Николаевна, издательство Народная асвета, Минск, 2020, белого цвета, страница 52, номер 10.10, Решение Алгебра, 10 класс Сборник задач, авторы: Арефьева Ирина Глебовна, Пирютко Ольга Николаевна, издательство Народная асвета, Минск, 2020, белого цвета, страница 52, номер 10.10, Решение (продолжение 2)
Решение 2. №10.10 (с. 52)

а) Чтобы найти множество значений функции $y = |\sin x| + 4$, воспользуемся известным свойством функции синус. Множество значений функции $f(x) = \sin x$ есть отрезок $[-1; 1]$. Это можно записать в виде двойного неравенства: $-1 \le \sin x \le 1$.
Применяя модуль, мы ограничиваем значения снизу нулем, так как модуль не может быть отрицательным: $0 \le |\sin x| \le 1$.
Далее, согласно выражению для $y$, прибавим 4 ко всем частям неравенства:
$0 + 4 \le |\sin x| + 4 \le 1 + 4$
$4 \le y \le 5$
Таким образом, множество значений функции $E(y) = [4; 5]$.
Ответ: $[4; 5]$

б) Для функции $y = |\cos 2x| - 3$ действуем аналогично. Множество значений функции $f(x) = \cos 2x$ есть отрезок $[-1; 1]$, так как множитель при $x$ не влияет на амплитуду. Итак: $-1 \le \cos 2x \le 1$.
Применяем модуль: $0 \le |\cos 2x| \le 1$.
Далее, вычитаем 3 из всех частей неравенства:
$0 - 3 \le |\cos 2x| - 3 \le 1 - 3$
$-3 \le y \le -2$
Таким образом, множество значений функции $E(y) = [-3; -2]$.
Ответ: $[-3; -2]$

в) Рассмотрим функцию $y = 5 - 2|\sin(x - \frac{\pi}{4})|$. Фазовый сдвиг $x - \frac{\pi}{4}$ не меняет множество значений синуса, которое остается отрезком $[-1; 1]$.
$ -1 \le \sin(x - \frac{\pi}{4}) \le 1 $
Берем модуль: $0 \le |\sin(x - \frac{\pi}{4})| \le 1$.
Умножаем неравенство на 2: $0 \le 2|\sin(x - \frac{\pi}{4})| \le 2$.
Теперь умножим на -1, что приведет к изменению знаков неравенства на противоположные:
$0 \ge -2|\sin(x - \frac{\pi}{4})| \ge -2$
или, в более привычном виде:
$-2 \le -2|\sin(x - \frac{\pi}{4})| \le 0$
Наконец, прибавляем 5 ко всем частям:
$5 - 2 \le 5 - 2|\sin(x - \frac{\pi}{4})| \le 5 + 0$
$3 \le y \le 5$
Таким образом, множество значений функции $E(y) = [3; 5]$.
Ответ: $[3; 5]$

г) Рассмотрим функцию $y = 4,2 - 0,3|\cos 5x|$. Множество значений функции $f(x) = \cos 5x$ есть отрезок $[-1; 1]$.
$ -1 \le \cos 5x \le 1 $
Берем модуль: $0 \le |\cos 5x| \le 1$.
Умножаем неравенство на 0,3: $0 \le 0,3|\cos 5x| \le 0,3$.
Умножаем на -1, меняя знаки неравенства:
$0 \ge -0,3|\cos 5x| \ge -0,3$
или:
$-0,3 \le -0,3|\cos 5x| \le 0$
Прибавляем 4,2 ко всем частям:
$4,2 - 0,3 \le 4,2 - 0,3|\cos 5x| \le 4,2 + 0$
$3,9 \le y \le 4,2$
Таким образом, множество значений функции $E(y) = [3,9; 4,2]$.
Ответ: $[3,9; 4,2]$

Помогло решение? Оставьте отзыв в комментариях ниже.

Присоединяйтесь к Телеграм-группе @gdz_by_belarus

Присоединиться

Мы подготовили для вас ответ c подробным объяснением домашего задания по алгебре за 10 класс, для упражнения номер 10.10 расположенного на странице 52 к сборнику задач 2020 года издания для учащихся школ и гимназий.

Теперь на нашем сайте ГДЗ.ТОП вы всегда легко и бесплатно найдёте условие с правильным ответом на вопрос «Как решить ДЗ» и «Как сделать» задание по алгебре к упражнению №10.10 (с. 52), авторов: Арефьева (Ирина Глебовна), Пирютко (Ольга Николаевна), базовый и повышенный уровень обучения учебного пособия издательства Народная асвета.