Номер 10.11, страница 52 - гдз по алгебре 10 класс сборник задач Арефьева, Пирютко

Алгебра, 10 класс Сборник задач, авторы: Арефьева Ирина Глебовна, Пирютко Ольга Николаевна, издательство Народная асвета, Минск, 2020, белого цвета

Авторы: Арефьева И. Г., Пирютко О. Н.

Тип: Сборник задач

Издательство: Народная асвета

Год издания: 2020 - 2026

Уровень обучения: базовый и повышенный

Цвет обложки: белый, голубой с графиком

Допущено Министерством образования Республики Беларусь

Глава 3. Тригонометрия. Параграф 10. Функции y=sin(x) и y=cos(x). Их свойства и графики - номер 10.11, страница 52.

№10.11 (с. 52)
Условие. №10.11 (с. 52)
скриншот условия
Алгебра, 10 класс Сборник задач, авторы: Арефьева Ирина Глебовна, Пирютко Ольга Николаевна, издательство Народная асвета, Минск, 2020, белого цвета, страница 52, номер 10.11, Условие

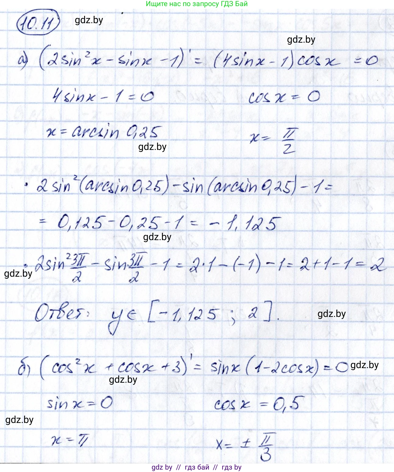
10.11. Найдите множество значений функции:

a) $y = 2\sin^2 x - \sin x - 1$;

б) $y = \cos^2 x + \cos x + 3.$

Решение. №10.11 (с. 52)
Алгебра, 10 класс Сборник задач, авторы: Арефьева Ирина Глебовна, Пирютко Ольга Николаевна, издательство Народная асвета, Минск, 2020, белого цвета, страница 52, номер 10.11, Решение Алгебра, 10 класс Сборник задач, авторы: Арефьева Ирина Глебовна, Пирютко Ольга Николаевна, издательство Народная асвета, Минск, 2020, белого цвета, страница 52, номер 10.11, Решение (продолжение 2)
Решение 2. №10.11 (с. 52)

а) Чтобы найти множество значений функции $y = 2\sin^2 x - \sin x - 1$, мы можем свести ее к квадратичной функции, сделав замену переменной. Пусть $t = \sin x$.

Поскольку множество значений функции синуса – это отрезок $[-1, 1]$, то новая переменная $t$ может принимать значения только из этого отрезка, то есть $t \in [-1, 1]$.

После замены функция принимает вид: $y(t) = 2t^2 - t - 1$. Теперь задача сводится к нахождению множества значений этой квадратичной функции на отрезке $[-1, 1]$.

Графиком функции $y(t) = 2t^2 - t - 1$ является парабола, ветви которой направлены вверх, так как коэффициент при $t^2$ положителен ($a=2 > 0$). Это означает, что свое наименьшее значение на отрезке функция может принять либо в вершине параболы (если она попадает в отрезок), либо на его концах.

Найдем координату вершины параболы по оси абсцисс: $t_в = -\frac{b}{2a} = -\frac{-1}{2 \cdot 2} = \frac{1}{4}$.

Так как $t_в = \frac{1}{4}$ принадлежит отрезку $[-1, 1]$, наименьшее значение функции на этом отрезке будет достигаться именно в вершине. Найдем это значение:

$y_{наим} = y(\frac{1}{4}) = 2\left(\frac{1}{4}\right)^2 - \frac{1}{4} - 1 = 2 \cdot \frac{1}{16} - \frac{1}{4} - 1 = \frac{1}{8} - \frac{2}{8} - \frac{8}{8} = -\frac{9}{8}$.

Наибольшее значение функции на отрезке будет достигаться на одном из его концов. Вычислим значения функции в точках $t=-1$ и $t=1$:

$y(-1) = 2(-1)^2 - (-1) - 1 = 2 + 1 - 1 = 2$.

$y(1) = 2(1)^2 - 1 - 1 = 2 - 1 - 1 = 0$.

Сравнивая полученные значения ($2$ и $0$), находим, что наибольшее значение равно $2$.

Таким образом, множество значений функции $y = 2\sin^2 x - \sin x - 1$ есть отрезок $[-\frac{9}{8}, 2]$.

Ответ: $[-\mathbf{1}\frac{1}{8}, 2]$.

б) Для функции $y = \cos^2 x + \cos x + 3$ применим тот же метод. Сделаем замену переменной $t = \cos x$. Область значений косинуса, как и синуса, – это отрезок $[-1, 1]$, следовательно, $t \in [-1, 1]$.

Получаем квадратичную функцию $y(t) = t^2 + t + 3$. Графиком является парабола, ветви которой направлены вверх ($a=1 > 0$).

Найдем абсциссу вершины параболы: $t_в = -\frac{b}{2a} = -\frac{1}{2 \cdot 1} = -\frac{1}{2}$.

Значение $t_в = -\frac{1}{2}$ принадлежит отрезку $[-1, 1]$, поэтому наименьшее значение функции на этом отрезке будет достигаться в вершине. Найдем это значение:

$y_{наим} = y(-\frac{1}{2}) = \left(-\frac{1}{2}\right)^2 + \left(-\frac{1}{2}\right) + 3 = \frac{1}{4} - \frac{1}{2} + 3 = \frac{1}{4} - \frac{2}{4} + \frac{12}{4} = \frac{11}{4}$.

Наибольшее значение функции на отрезке ищем на его концах. Вычислим значения функции в точках $t=-1$ и $t=1$:

$y(-1) = (-1)^2 + (-1) + 3 = 1 - 1 + 3 = 3$.

$y(1) = 1^2 + 1 + 3 = 1 + 1 + 3 = 5$.

Сравнивая значения ($3$ и $5$), находим, что наибольшее значение равно $5$.

Таким образом, множество значений функции $y = \cos^2 x + \cos x + 3$ есть отрезок $[\frac{11}{4}, 5]$.

Ответ: $[\mathbf{2}\frac{3}{4}, 5]$.

Помогло решение? Оставьте отзыв в комментариях ниже.

Присоединяйтесь к Телеграм-группе @gdz_by_belarus

Присоединиться

Мы подготовили для вас ответ c подробным объяснением домашего задания по алгебре за 10 класс, для упражнения номер 10.11 расположенного на странице 52 к сборнику задач 2020 года издания для учащихся школ и гимназий.

Теперь на нашем сайте ГДЗ.ТОП вы всегда легко и бесплатно найдёте условие с правильным ответом на вопрос «Как решить ДЗ» и «Как сделать» задание по алгебре к упражнению №10.11 (с. 52), авторов: Арефьева (Ирина Глебовна), Пирютко (Ольга Николаевна), базовый и повышенный уровень обучения учебного пособия издательства Народная асвета.