Номер 12.11, страница 63 - гдз по алгебре 10 класс сборник задач Арефьева, Пирютко

Алгебра, 10 класс Сборник задач, авторы: Арефьева Ирина Глебовна, Пирютко Ольга Николаевна, издательство Народная асвета, Минск, 2020, белого цвета

Авторы: Арефьева И. Г., Пирютко О. Н.

Тип: Сборник задач

Издательство: Народная асвета

Год издания: 2020 - 2026

Уровень обучения: базовый и повышенный

Цвет обложки: белый, голубой с графиком

Допущено Министерством образования Республики Беларусь

Глава 3. Тригонометрия. Параграф 12. Обратные тригонометрические функции - номер 12.11, страница 63.

№12.11 (с. 63)
Условие. №12.11 (с. 63)
скриншот условия
Алгебра, 10 класс Сборник задач, авторы: Арефьева Ирина Глебовна, Пирютко Ольга Николаевна, издательство Народная асвета, Минск, 2020, белого цвета, страница 63, номер 12.11, Условие

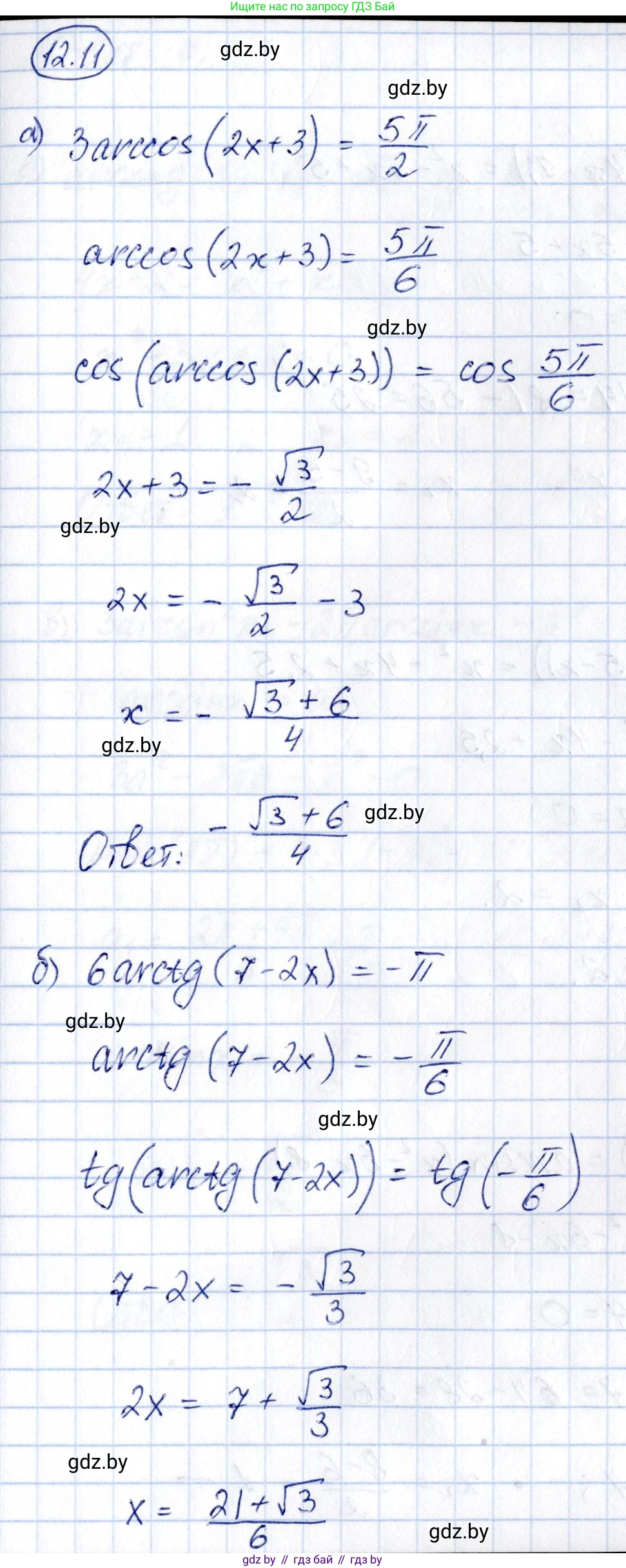
12.11. Решите уравнение:

a) $3 \arccos(2x + 3) = \frac{5\pi}{2}$;

б) $6 \operatorname{arctg}(7 - 2x) = -\pi$;

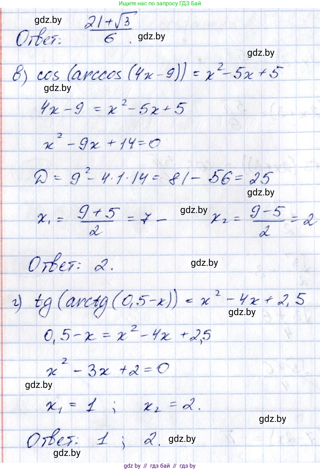
в) $\cos(\arccos(4x - 9)) = x^2 - 5x + 5$;

г) $\operatorname{tg}(\operatorname{arctg}(0,5 - x)) = x^2 - 4x + 2,5$.

Решение. №12.11 (с. 63)
Алгебра, 10 класс Сборник задач, авторы: Арефьева Ирина Глебовна, Пирютко Ольга Николаевна, издательство Народная асвета, Минск, 2020, белого цвета, страница 63, номер 12.11, Решение Алгебра, 10 класс Сборник задач, авторы: Арефьева Ирина Глебовна, Пирютко Ольга Николаевна, издательство Народная асвета, Минск, 2020, белого цвета, страница 63, номер 12.11, Решение (продолжение 2)
Решение 2. №12.11 (с. 63)

а) $3\arccos(2x + 3) = \frac{5\pi}{2}$

Для начала разделим обе части уравнения на 3, чтобы выделить арккосинус:
$\arccos(2x + 3) = \frac{5\pi}{2 \cdot 3} = \frac{5\pi}{6}$

Область значений функции $y = \arccos(t)$ — это отрезок $[0, \pi]$.
Значение $\frac{5\pi}{6}$ принадлежит этому отрезку, так как $0 \le \frac{5\pi}{6} \le \pi$. Следовательно, уравнение имеет решение.

По определению арккосинуса, если $\arccos(a) = b$, то $\cos(b) = a$. Применим эту операцию к нашему уравнению:
$2x + 3 = \cos\left(\frac{5\pi}{6}\right)$

Вычислим значение косинуса в правой части:
$\cos\left(\frac{5\pi}{6}\right) = \cos\left(\pi - \frac{\pi}{6}\right) = -\cos\left(\frac{\pi}{6}\right) = -\frac{\sqrt{3}}{2}$

Теперь решим получившееся линейное уравнение относительно $x$:
$2x + 3 = -\frac{\sqrt{3}}{2}$
$2x = -3 - \frac{\sqrt{3}}{2}$
$2x = \frac{-6 - \sqrt{3}}{2}$
$x = \frac{-6 - \sqrt{3}}{4} = -\frac{6 + \sqrt{3}}{4}$

Необходимо также проверить, что аргумент арккосинуса находится в допустимом диапазоне $[-1, 1]$. Мы получили, что $2x + 3 = -\frac{\sqrt{3}}{2}$. Так как $-1 \le -\frac{\sqrt{3}}{2} \le 1$, условие выполнено.

Ответ: $x = -\frac{6 + \sqrt{3}}{4}$.


б) $6\operatorname{arctg}(7 - 2x) = -\pi$

Разделим обе части уравнения на 6:
$\operatorname{arctg}(7 - 2x) = -\frac{\pi}{6}$

Область значений функции $y = \operatorname{arctg}(t)$ — это интервал $(-\frac{\pi}{2}, \frac{\pi}{2})$.
Значение $-\frac{\pi}{6}$ принадлежит этому интервалу, так как $-\frac{\pi}{2} < -\frac{\pi}{6} < \frac{\pi}{2}$. Следовательно, уравнение имеет решение.

По определению арктангенса, если $\operatorname{arctg}(a) = b$, то $\operatorname{tg}(b) = a$. Применим тангенс к обеим частям уравнения:
$7 - 2x = \operatorname{tg}\left(-\frac{\pi}{6}\right)$

Вычислим значение тангенса в правой части (тангенс - нечетная функция):
$\operatorname{tg}\left(-\frac{\pi}{6}\right) = -\operatorname{tg}\left(\frac{\pi}{6}\right) = -\frac{1}{\sqrt{3}} = -\frac{\sqrt{3}}{3}$

Подставим это значение и решим уравнение:
$7 - 2x = -\frac{\sqrt{3}}{3}$
$2x = 7 + \frac{\sqrt{3}}{3}$
$2x = \frac{21 + \sqrt{3}}{3}$
$x = \frac{21 + \sqrt{3}}{6}$

Область определения арктангенса — все действительные числа, поэтому дополнительных ограничений на $x$ нет.

Ответ: $x = \frac{21 + \sqrt{3}}{6}$.


в) $\cos(\arccos(4x - 9)) = x^2 - 5x + 5$

Используем основное тождество $\cos(\arccos(y)) = y$, которое справедливо только при выполнении условия $-1 \le y \le 1$.

В нашем случае уравнение упрощается до:
$4x - 9 = x^2 - 5x + 5$

При этом должно выполняться ограничение (область допустимых значений):
$-1 \le 4x - 9 \le 1$

Сначала решим полученное квадратное уравнение:
$x^2 - 5x - 4x + 5 + 9 = 0$
$x^2 - 9x + 14 = 0$

По теореме Виета, сумма корней равна 9, а их произведение равно 14. Легко подобрать корни:
$x_1 = 2$
$x_2 = 7$

Теперь проверим, удовлетворяют ли найденные корни нашему ограничению $-1 \le 4x - 9 \le 1$.
Проверка для $x_1 = 2$:
$4(2) - 9 = 8 - 9 = -1$.
Так как $-1 \le -1 \le 1$, условие выполняется, и $x = 2$ является корнем уравнения.

Проверка для $x_2 = 7$:
$4(7) - 9 = 28 - 9 = 19$.
Так как $19$ не принадлежит отрезку $[-1, 1]$, корень $x=7$ является посторонним.

Ответ: $x = 2$.


г) $\operatorname{tg}(\operatorname{arctg}(0,5 - x)) = x^2 - 4x + 2,5$

Используем основное тождество $\operatorname{tg}(\operatorname{arctg}(y)) = y$, которое справедливо для любых действительных значений $y$. В данном случае никаких ограничений на переменную $x$ не накладывается.

Уравнение принимает вид:
$0,5 - x = x^2 - 4x + 2,5$

Перенесем все члены в правую часть, чтобы получить стандартное квадратное уравнение:
$x^2 - 4x + x + 2,5 - 0,5 = 0$
$x^2 - 3x + 2 = 0$

Решим это уравнение. По теореме Виета, сумма корней равна 3, а их произведение равно 2. Корни уравнения:
$x_1 = 1$
$x_2 = 2$

Поскольку ограничений на $x$ не было, оба найденных значения являются решениями исходного уравнения.

Ответ: $x_1 = 1, x_2 = 2$.

Помогло решение? Оставьте отзыв в комментариях ниже.

Присоединяйтесь к Телеграм-группе @gdz_by_belarus

Присоединиться

Мы подготовили для вас ответ c подробным объяснением домашего задания по алгебре за 10 класс, для упражнения номер 12.11 расположенного на странице 63 к сборнику задач 2020 года издания для учащихся школ и гимназий.

Теперь на нашем сайте ГДЗ.ТОП вы всегда легко и бесплатно найдёте условие с правильным ответом на вопрос «Как решить ДЗ» и «Как сделать» задание по алгебре к упражнению №12.11 (с. 63), авторов: Арефьева (Ирина Глебовна), Пирютко (Ольга Николаевна), базовый и повышенный уровень обучения учебного пособия издательства Народная асвета.