Номер 12.15, страница 64 - гдз по алгебре 10 класс сборник задач Арефьева, Пирютко

Алгебра, 10 класс Сборник задач, авторы: Арефьева Ирина Глебовна, Пирютко Ольга Николаевна, издательство Народная асвета, Минск, 2020, белого цвета

Авторы: Арефьева И. Г., Пирютко О. Н.

Тип: Сборник задач

Издательство: Народная асвета

Год издания: 2020 - 2026

Уровень обучения: базовый и повышенный

Цвет обложки: белый, голубой с графиком

Допущено Министерством образования Республики Беларусь

Глава 3. Тригонометрия. Параграф 12. Обратные тригонометрические функции - номер 12.15, страница 64.

№12.15 (с. 64)
Условие. №12.15 (с. 64)
скриншот условия
Алгебра, 10 класс Сборник задач, авторы: Арефьева Ирина Глебовна, Пирютко Ольга Николаевна, издательство Народная асвета, Минск, 2020, белого цвета, страница 64, номер 12.15, Условие

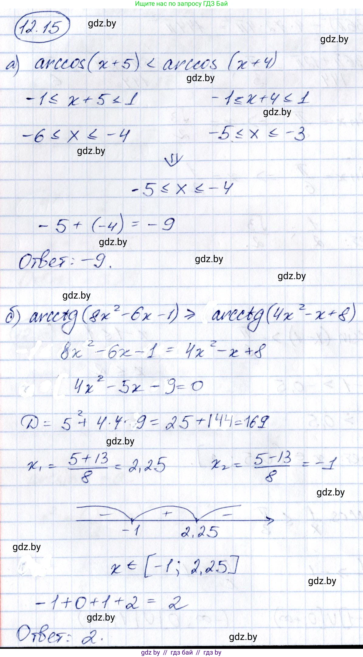
12.15. Найдите сумму целых решений неравенства:

a) $ \arccos(x + 5) < \arccos(x + 4) $;

б) $ \operatorname{arcctg}(8x^2 - 6x - 1) \ge \operatorname{arcctg}(4x^2 - x + 8) $.

Решение. №12.15 (с. 64)
Алгебра, 10 класс Сборник задач, авторы: Арефьева Ирина Глебовна, Пирютко Ольга Николаевна, издательство Народная асвета, Минск, 2020, белого цвета, страница 64, номер 12.15, Решение
Решение 2. №12.15 (с. 64)

а)

Функция $y = \arccos(t)$ является строго убывающей. Кроме того, область определения функции арккосинус — это отрезок $[-1, 1]$. Следовательно, аргументы обоих арккосинусов должны принадлежать этому отрезку.

Неравенство $\arccos(x + 5) < \arccos(x + 4)$ равносильно системе неравенств:

$ \begin{cases} x + 5 > x + 4 \\ -1 \le x + 5 \le 1 \\ -1 \le x + 4 \le 1 \end{cases} $

Рассмотрим каждое неравенство системы:

1. $x + 5 > x + 4 \implies 5 > 4$. Это верное неравенство, оно выполняется для любых значений $x$.

2. $-1 \le x + 5 \le 1$. Вычитая 5 из всех частей, получаем: $-1 - 5 \le x \le 1 - 5 \implies -6 \le x \le -4$.

3. $-1 \le x + 4 \le 1$. Вычитая 4 из всех частей, получаем: $-1 - 4 \le x \le 1 - 4 \implies -5 \le x \le -3$.

Решением системы является пересечение полученных множеств решений: $x \in [-6, -4] \cap [-5, -3]$.

Пересечением этих отрезков является отрезок $[-5, -4]$.

Целыми решениями, принадлежащими отрезку $[-5, -4]$, являются числа -5 и -4.

Сумма целых решений: $(-5) + (-4) = -9$.

Ответ: -9

б)

Функция $y = \operatorname{arcctg}(t)$ является строго убывающей на всей своей области определения $(-\infty; +\infty)$. Это означает, что для любых значений аргументов $a$ и $b$, если $\operatorname{arcctg}(a) \ge \operatorname{arcctg}(b)$, то $a \le b$.

Таким образом, исходное неравенство $\operatorname{arcctg}(8x^2 - 6x - 1) \ge \operatorname{arcctg}(4x^2 - x + 8)$ равносильно следующему квадратному неравенству:

$8x^2 - 6x - 1 \le 4x^2 - x + 8$

Перенесем все члены в левую часть и приведем подобные слагаемые:

$(8x^2 - 4x^2) + (-6x + x) + (-1 - 8) \le 0$

$4x^2 - 5x - 9 \le 0$

Для решения этого неравенства найдем корни соответствующего квадратного уравнения $4x^2 - 5x - 9 = 0$.

Вычислим дискриминант:

$D = b^2 - 4ac = (-5)^2 - 4 \cdot 4 \cdot (-9) = 25 + 144 = 169 = 13^2$

Найдем корни:

$x_1 = \frac{-b - \sqrt{D}}{2a} = \frac{5 - 13}{2 \cdot 4} = \frac{-8}{8} = -1$

$x_2 = \frac{-b + \sqrt{D}}{2a} = \frac{5 + 13}{2 \cdot 4} = \frac{18}{8} = \frac{9}{4} = 2.25$

Графиком функции $y = 4x^2 - 5x - 9$ является парабола, ветви которой направлены вверх (так как $a=4 > 0$). Следовательно, неравенство $4x^2 - 5x - 9 \le 0$ выполняется для значений $x$, находящихся между корнями, включая сами корни.

Решением неравенства является отрезок $x \in [-1, \frac{9}{4}]$, или $x \in [-1, 2.25]$.

Целыми решениями, принадлежащими этому отрезку, являются числа -1, 0, 1, 2.

Найдем сумму этих целых решений: $(-1) + 0 + 1 + 2 = 2$.

Ответ: 2

Помогло решение? Оставьте отзыв в комментариях ниже.

Присоединяйтесь к Телеграм-группе @gdz_by_belarus

Присоединиться

Мы подготовили для вас ответ c подробным объяснением домашего задания по алгебре за 10 класс, для упражнения номер 12.15 расположенного на странице 64 к сборнику задач 2020 года издания для учащихся школ и гимназий.

Теперь на нашем сайте ГДЗ.ТОП вы всегда легко и бесплатно найдёте условие с правильным ответом на вопрос «Как решить ДЗ» и «Как сделать» задание по алгебре к упражнению №12.15 (с. 64), авторов: Арефьева (Ирина Глебовна), Пирютко (Ольга Николаевна), базовый и повышенный уровень обучения учебного пособия издательства Народная асвета.