Номер 12.14, страница 64 - гдз по алгебре 10 класс сборник задач Арефьева, Пирютко

Алгебра, 10 класс Сборник задач, авторы: Арефьева Ирина Глебовна, Пирютко Ольга Николаевна, издательство Народная асвета, Минск, 2020, белого цвета

Авторы: Арефьева И. Г., Пирютко О. Н.

Тип: Сборник задач

Издательство: Народная асвета

Год издания: 2020 - 2026

Уровень обучения: базовый и повышенный

Цвет обложки: белый, голубой с графиком

Допущено Министерством образования Республики Беларусь

Глава 3. Тригонометрия. Параграф 12. Обратные тригонометрические функции - номер 12.14, страница 64.

№12.14 (с. 64)
Условие. №12.14 (с. 64)
скриншот условия
Алгебра, 10 класс Сборник задач, авторы: Арефьева Ирина Глебовна, Пирютко Ольга Николаевна, издательство Народная асвета, Минск, 2020, белого цвета, страница 64, номер 12.14, Условие

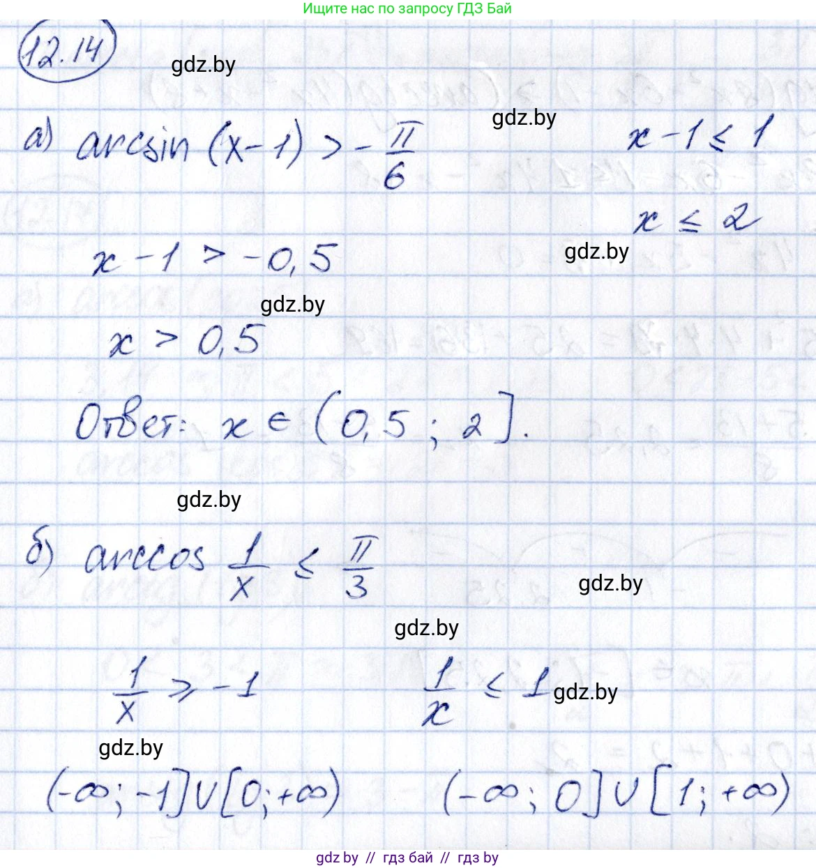
12.14. Решите неравенство:

a) $\arcsin(x-1) > -\frac{\pi}{6};$

б) $\arccos\frac{1}{x} \le \frac{\pi}{3}.$

Решение. №12.14 (с. 64)
Алгебра, 10 класс Сборник задач, авторы: Арефьева Ирина Глебовна, Пирютко Ольга Николаевна, издательство Народная асвета, Минск, 2020, белого цвета, страница 64, номер 12.14, Решение Алгебра, 10 класс Сборник задач, авторы: Арефьева Ирина Глебовна, Пирютко Ольга Николаевна, издательство Народная асвета, Минск, 2020, белого цвета, страница 64, номер 12.14, Решение (продолжение 2)
Решение 2. №12.14 (с. 64)
а)

Решим неравенство $\arcsin(x-1) > -\frac{\pi}{6}$.

Сначала определим область допустимых значений (ОДЗ) для этого неравенства. Аргумент функции арксинус должен принадлежать отрезку $[-1, 1]$:

$-1 \le x-1 \le 1$

Прибавив 1 ко всем частям двойного неравенства, получим:

$0 \le x \le 2$

Таким образом, ОДЗ: $x \in [0, 2]$.

Теперь решим само неравенство. Функция $y = \arcsin(t)$ является возрастающей на всей своей области определения. Это означает, что большему значению функции соответствует большее значение аргумента. Также учтем, что область значений функции арксинус — это отрезок $[-\frac{\pi}{2}, \frac{\pi}{2}]$.

Неравенство $\arcsin(x-1) > -\frac{\pi}{6}$ можно переписать, применив к обеим частям возрастающую функцию синус. Знак неравенства при этом сохранится.

$\sin(\arcsin(x-1)) > \sin(-\frac{\pi}{6})$

Вычисляем значения:

$x-1 > -\frac{1}{2}$

Решаем полученное линейное неравенство:

$x > 1 - \frac{1}{2}$

$x > \frac{1}{2}$

Наконец, найдем пересечение полученного решения с ОДЗ: $x \in (\frac{1}{2}, \infty)$ и $x \in [0, 2]$.

Пересечением этих двух множеств является промежуток $(\frac{1}{2}, 2]$.

Ответ: $x \in (\frac{1}{2}, 2]$.

б)

Решим неравенство $\arccos(\frac{1}{x}) \le \frac{\pi}{3}$.

Найдем область допустимых значений (ОДЗ). Аргумент функции арккосинус должен принадлежать отрезку $[-1, 1]$:

$-1 \le \frac{1}{x} \le 1$

Это неравенство равносильно тому, что $|\frac{1}{x}| \le 1$, или $|x| \ge 1$.

Таким образом, ОДЗ: $x \in (-\infty, -1] \cup [1, \infty)$.

Теперь решим само неравенство. Функция $y = \arccos(t)$ является убывающей на всей своей области определения. Это означает, что большему значению функции соответствует меньшее значение аргумента. Область значений арккосинуса — отрезок $[0, \pi]$.

Учитывая, что $\arccos(\frac{1}{x}) \ge 0$ по определению, исходное неравенство можно записать в виде:

$0 \le \arccos(\frac{1}{x}) \le \frac{\pi}{3}$

Применим к обеим частям убывающую функцию косинус. Знаки неравенства при этом изменятся на противоположные:

$\cos(0) \ge \cos(\arccos(\frac{1}{x})) \ge \cos(\frac{\pi}{3})$

Вычисляем значения:

$1 \ge \frac{1}{x} \ge \frac{1}{2}$

Решим полученное двойное неравенство $\frac{1}{2} \le \frac{1}{x} \le 1$.

Из того, что $\frac{1}{x} \ge \frac{1}{2}$, следует, что $\frac{1}{x}$ и, следовательно, $x$ являются положительными числами.

Для положительных $x$ мы можем взять обратные величины для всех частей неравенства, снова изменив знаки на противоположные:

$2 \ge x \ge 1$

Получаем решение: $x \in [1, 2]$.

Данное решение полностью удовлетворяет ОДЗ: $x \in (-\infty, -1] \cup [1, \infty)$.

Ответ: $x \in [1, 2]$.

Помогло решение? Оставьте отзыв в комментариях ниже.

Присоединяйтесь к Телеграм-группе @gdz_by_belarus

Присоединиться

Мы подготовили для вас ответ c подробным объяснением домашего задания по алгебре за 10 класс, для упражнения номер 12.14 расположенного на странице 64 к сборнику задач 2020 года издания для учащихся школ и гимназий.

Теперь на нашем сайте ГДЗ.ТОП вы всегда легко и бесплатно найдёте условие с правильным ответом на вопрос «Как решить ДЗ» и «Как сделать» задание по алгебре к упражнению №12.14 (с. 64), авторов: Арефьева (Ирина Глебовна), Пирютко (Ольга Николаевна), базовый и повышенный уровень обучения учебного пособия издательства Народная асвета.