Номер 13.1, страница 73 - гдз по алгебре 10 класс сборник задач Арефьева, Пирютко

Алгебра, 10 класс Сборник задач, авторы: Арефьева Ирина Глебовна, Пирютко Ольга Николаевна, издательство Народная асвета, Минск, 2020, белого цвета

Авторы: Арефьева И. Г., Пирютко О. Н.

Тип: Сборник задач

Издательство: Народная асвета

Год издания: 2020 - 2026

Уровень обучения: базовый и повышенный

Цвет обложки: белый, голубой с графиком

Допущено Министерством образования Республики Беларусь

Популярные ГДЗ в 10 классе

Глава 3. Тригонометрия. Параграф 13. Тригонометрические уравнения. Тригонометрические неравенства - номер 13.1, страница 73.

№13.1 (с. 73)
Условие. №13.1 (с. 73)
скриншот условия
Алгебра, 10 класс Сборник задач, авторы: Арефьева Ирина Глебовна, Пирютко Ольга Николаевна, издательство Народная асвета, Минск, 2020, белого цвета, страница 73, номер 13.1, Условие

13.1. Решите уравнение:

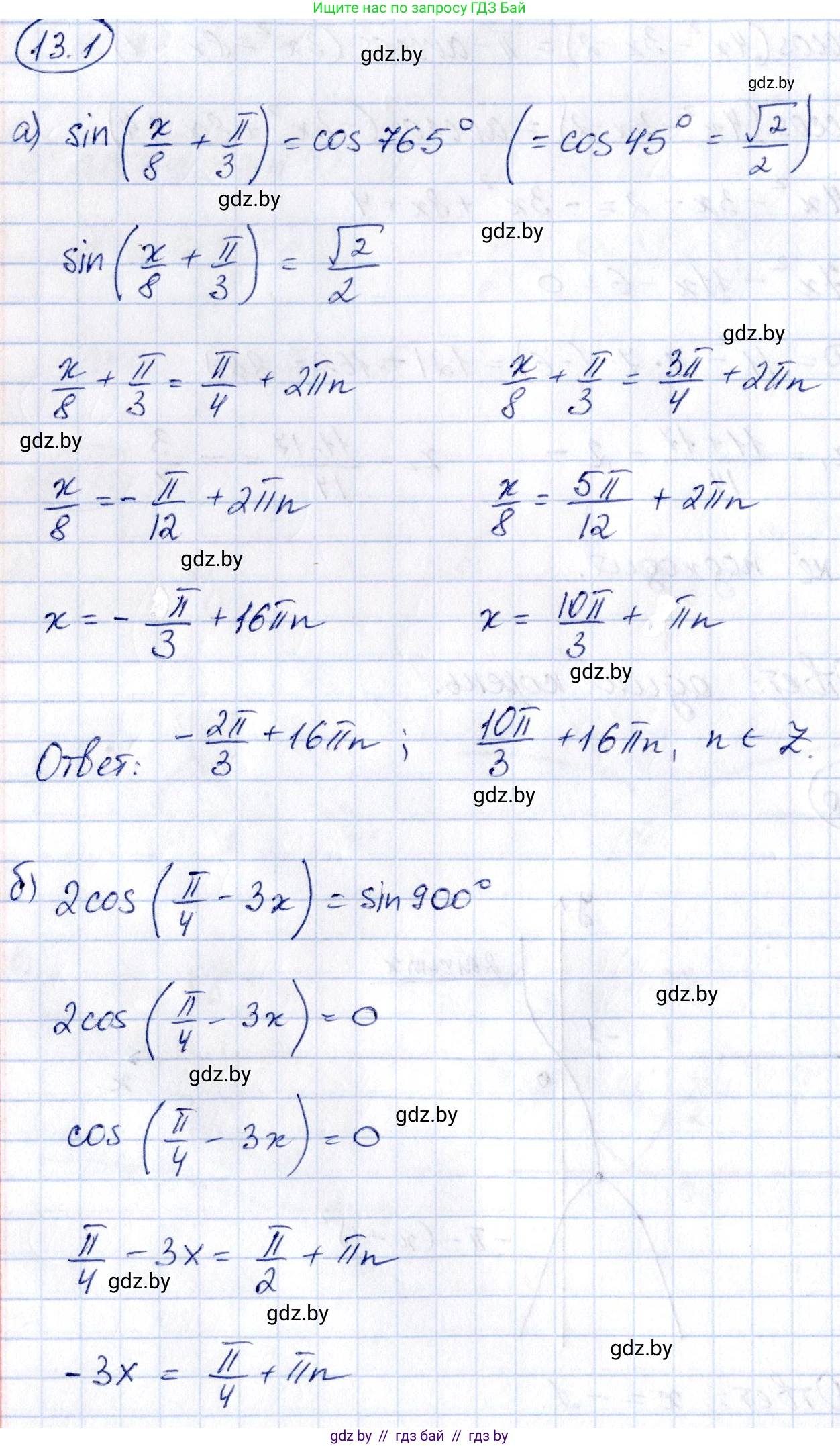
а) $\sin\left(\frac{x}{8} + \frac{\pi}{3}\right) = \cos 765^{\circ};$

б) $2\cos\left(\frac{\pi}{4} - 3x\right) = \sin 900^{\circ}.$

Решение. №13.1 (с. 73)
Алгебра, 10 класс Сборник задач, авторы: Арефьева Ирина Глебовна, Пирютко Ольга Николаевна, издательство Народная асвета, Минск, 2020, белого цвета, страница 73, номер 13.1, Решение Алгебра, 10 класс Сборник задач, авторы: Арефьева Ирина Глебовна, Пирютко Ольга Николаевна, издательство Народная асвета, Минск, 2020, белого цвета, страница 73, номер 13.1, Решение (продолжение 2)
Решение 2. №13.1 (с. 73)

а) $\sin(\frac{x}{8} + \frac{\pi}{3}) = \cos(765°)$

Прежде всего, упростим правую часть уравнения. Используем свойство периодичности функции косинус, период которой составляет $360°$.

$\cos(765°) = \cos(2 \cdot 360° + 45°) = \cos(45°)$

Мы знаем, что $\cos(45°) = \frac{\sqrt{2}}{2}$.

Теперь исходное уравнение можно переписать в виде:

$\sin(\frac{x}{8} + \frac{\pi}{3}) = \frac{\sqrt{2}}{2}$

Решение уравнения $\sin(t) = a$ можно представить в виде двух серий корней:

$t = \arcsin(a) + 2\pi n$ и $t = \pi - \arcsin(a) + 2\pi n$, где $n \in Z$.

В данном случае $t = \frac{x}{8} + \frac{\pi}{3}$ и $a = \frac{\sqrt{2}}{2}$, а $\arcsin(\frac{\sqrt{2}}{2}) = \frac{\pi}{4}$.

Рассмотрим каждую серию решений отдельно.

1) $\frac{x}{8} + \frac{\pi}{3} = \frac{\pi}{4} + 2\pi n$

$\frac{x}{8} = \frac{\pi}{4} - \frac{\pi}{3} + 2\pi n$

$\frac{x}{8} = \frac{3\pi - 4\pi}{12} + 2\pi n = -\frac{\pi}{12} + 2\pi n$

$x = 8 \cdot (-\frac{\pi}{12} + 2\pi n) = -\frac{8\pi}{12} + 16\pi n = -\frac{2\pi}{3} + 16\pi n$

2) $\frac{x}{8} + \frac{\pi}{3} = \pi - \frac{\pi}{4} + 2\pi n$

$\frac{x}{8} + \frac{\pi}{3} = \frac{3\pi}{4} + 2\pi n$

$\frac{x}{8} = \frac{3\pi}{4} - \frac{\pi}{3} + 2\pi n$

$\frac{x}{8} = \frac{9\pi - 4\pi}{12} + 2\pi n = \frac{5\pi}{12} + 2\pi n$

$x = 8 \cdot (\frac{5\pi}{12} + 2\pi n) = \frac{40\pi}{12} + 16\pi n = \frac{10\pi}{3} + 16\pi n$

В полученном ответе $\frac{10\pi}{3}$ является неправильной дробью. Выделим из неё целую часть: $\frac{10}{3} = 3\frac{1}{3}$.

Ответ: $x = -\frac{2\pi}{3} + 16\pi n, n \in Z$; $x = \mathbf{3}\frac{1}{3}\pi + 16\pi n, n \in Z$.

б) $2\cos(\frac{\pi}{4} - 3x) = \sin(900°)$

Сначала упростим правую часть уравнения, используя периодичность функции синус (период $360°$).

$\sin(900°) = \sin(2 \cdot 360° + 180°) = \sin(180°) = 0$

Уравнение принимает вид:

$2\cos(\frac{\pi}{4} - 3x) = 0$

$\cos(\frac{\pi}{4} - 3x) = 0$

Это частный случай простейшего тригонометрического уравнения. Решение уравнения $\cos(t) = 0$ дается формулой $t = \frac{\pi}{2} + \pi k$, где $k \in Z$.

В нашем случае $t = \frac{\pi}{4} - 3x$.

$\frac{\pi}{4} - 3x = \frac{\pi}{2} + \pi k$

Теперь выразим $x$:

$-3x = \frac{\pi}{2} - \frac{\pi}{4} + \pi k$

$-3x = \frac{2\pi - \pi}{4} + \pi k = \frac{\pi}{4} + \pi k$

Разделим обе части на $-3$:

$x = -\frac{\pi}{12} - \frac{\pi k}{3}, k \in Z$

Ответ: $x = -\frac{\pi}{12} - \frac{\pi k}{3}, k \in Z$.

Помогло решение? Оставьте отзыв в комментариях ниже.

Присоединяйтесь к Телеграм-группе @gdz_by_belarus

Присоединиться

Мы подготовили для вас ответ c подробным объяснением домашего задания по алгебре за 10 класс, для упражнения номер 13.1 расположенного на странице 73 к сборнику задач 2020 года издания для учащихся школ и гимназий.

Теперь на нашем сайте ГДЗ.ТОП вы всегда легко и бесплатно найдёте условие с правильным ответом на вопрос «Как решить ДЗ» и «Как сделать» задание по алгебре к упражнению №13.1 (с. 73), авторов: Арефьева (Ирина Глебовна), Пирютко (Ольга Николаевна), базовый и повышенный уровень обучения учебного пособия издательства Народная асвета.