Номер 12.12, страница 64 - гдз по алгебре 10 класс сборник задач Арефьева, Пирютко

Алгебра, 10 класс Сборник задач, авторы: Арефьева Ирина Глебовна, Пирютко Ольга Николаевна, издательство Народная асвета, Минск, 2020, белого цвета

Авторы: Арефьева И. Г., Пирютко О. Н.

Тип: Сборник задач

Издательство: Народная асвета

Год издания: 2020 - 2026

Уровень обучения: базовый и повышенный

Цвет обложки: белый, голубой с графиком

Допущено Министерством образования Республики Беларусь

Глава 3. Тригонометрия. Параграф 12. Обратные тригонометрические функции - номер 12.12, страница 64.

№12.12 (с. 64)
Условие. №12.12 (с. 64)
скриншот условия
Алгебра, 10 класс Сборник задач, авторы: Арефьева Ирина Глебовна, Пирютко Ольга Николаевна, издательство Народная асвета, Минск, 2020, белого цвета, страница 64, номер 12.12, Условие

12.12. Решите уравнение:

a) $ \arcsin(2x - 15) = \arcsin(x^2 - 6x - 8); $

б) $ \operatorname{arcctg}(2x - 1) = \operatorname{arcctg}\left(\frac{x^2}{2} + \frac{x}{2}\right); $

в) $ 3\arcsin^2 x - 2\pi\arcsin x - \pi^2 = 0; $

г) $ 9\arccos^2 2x - 3\pi\arccos 2x - 2\pi^2 = 0. $

Решение. №12.12 (с. 64)
Алгебра, 10 класс Сборник задач, авторы: Арефьева Ирина Глебовна, Пирютко Ольга Николаевна, издательство Народная асвета, Минск, 2020, белого цвета, страница 64, номер 12.12, Решение Алгебра, 10 класс Сборник задач, авторы: Арефьева Ирина Глебовна, Пирютко Ольга Николаевна, издательство Народная асвета, Минск, 2020, белого цвета, страница 64, номер 12.12, Решение (продолжение 2)
Решение 2. №12.12 (с. 64)

а) Исходное уравнение: $arcsin(2x - 15) = arcsin(x^2 - 6x - 8)$.

Функция $y = arcsin(t)$ является монотонно возрастающей на всей своей области определения. Следовательно, если арксинусы двух выражений равны, то и сами выражения равны. Одновременно с этим, аргумент функции $arcsin$ должен принадлежать отрезку $[-1, 1]$.

Таким образом, уравнение равносильно системе: $ \begin{cases} 2x - 15 = x^2 - 6x - 8 \\ -1 \le 2x - 15 \le 1 \end{cases} $

Сначала решим уравнение:
$x^2 - 6x - 2x - 8 + 15 = 0$
$x^2 - 8x + 7 = 0$
По теореме Виета, сумма корней $x_1 + x_2 = 8$, а произведение $x_1 \cdot x_2 = 7$. Отсюда находим корни:
$x_1 = 1$, $x_2 = 7$.

Теперь решим неравенство, чтобы проверить корни на соответствие области определения:
$-1 \le 2x - 15 \le 1$
Прибавим 15 ко всем частям:
$14 \le 2x \le 16$
Разделим на 2:
$7 \le x \le 8$

Сравним полученные корни с найденным отрезком. Корень $x_1 = 1$ не принадлежит отрезку $[7, 8]$, следовательно, это посторонний корень. Корень $x_2 = 7$ принадлежит отрезку $[7, 8]$, значит, он является решением уравнения.

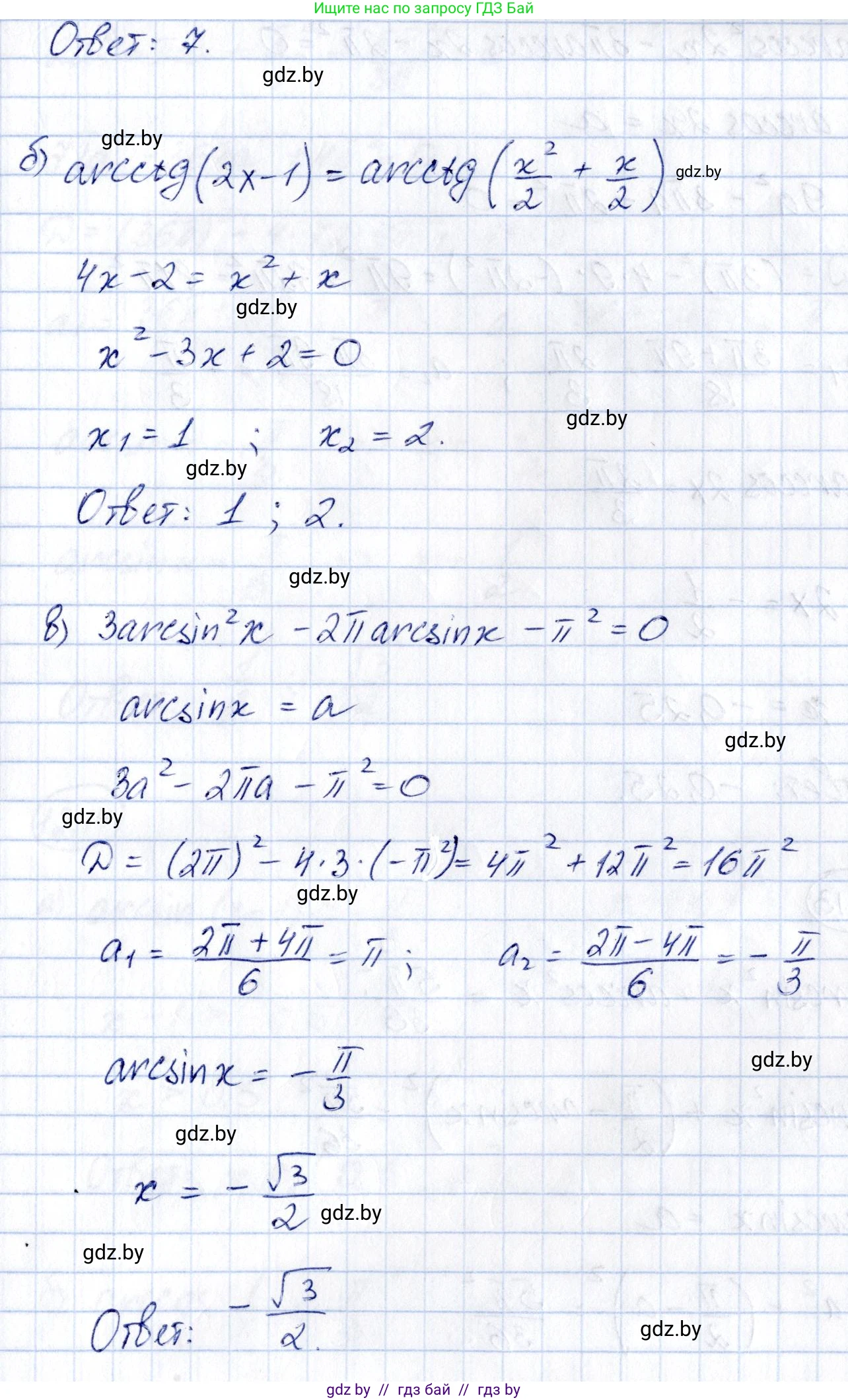
Ответ: 7.

б) Исходное уравнение: $arcctg(2x - 1) = arcctg(\frac{x^2}{2} + \frac{x}{2})$.

Функция $y = arcctg(t)$ является монотонно убывающей на всей своей области определения, которая представляет собой все действительные числа $(\mathbb{R})$. Поэтому равенство арккотангенсов двух выражений равносильно равенству самих выражений. Дополнительных ограничений на $x$ не возникает.

Приравниваем аргументы:
$2x - 1 = \frac{x^2}{2} + \frac{x}{2}$
Умножим обе части уравнения на 2, чтобы избавиться от знаменателей:
$4x - 2 = x^2 + x$
$x^2 - 3x + 2 = 0$
По теореме Виета, сумма корней $x_1 + x_2 = 3$, а произведение $x_1 \cdot x_2 = 2$. Корни уравнения:
$x_1 = 1$, $x_2 = 2$.

Оба корня являются действительными числами и подходят.

Ответ: 1; 2.

в) Исходное уравнение: $3\arcsin^2 x - 2\pi\arcsin x - \pi^2 = 0$.

Это квадратное уравнение относительно $\arcsin x$. Введем замену: пусть $y = \arcsin x$. При этом необходимо учесть, что область значений функции арксинус — это отрезок $[-\frac{\pi}{2}, \frac{\pi}{2}]$.

Уравнение принимает вид:
$3y^2 - 2\pi y - \pi^2 = 0$.
Решим его. Дискриминант $D = (-2\pi)^2 - 4 \cdot 3 \cdot (-\pi^2) = 4\pi^2 + 12\pi^2 = 16\pi^2 = (4\pi)^2$.
$y_1 = \frac{2\pi + 4\pi}{6} = \frac{6\pi}{6} = \pi$
$y_2 = \frac{2\pi - 4\pi}{6} = \frac{-2\pi}{6} = -\frac{\pi}{3}$

Проверим найденные значения $y$ на принадлежность отрезку $[-\frac{\pi}{2}, \frac{\pi}{2}]$.
$y_1 = \pi$ не принадлежит отрезку $[-\frac{\pi}{2}, \frac{\pi}{2}]$.
$y_2 = -\frac{\pi}{3}$ принадлежит отрезку $[-\frac{\pi}{2}, \frac{\pi}{2}]$.

Возвращаемся к исходной переменной с единственным подходящим корнем:
$\arcsin x = -\frac{\pi}{3}$
$x = \sin(-\frac{\pi}{3}) = -\sin(\frac{\pi}{3}) = -\frac{\sqrt{3}}{2}$

Ответ: $-\frac{\sqrt{3}}{2}$.

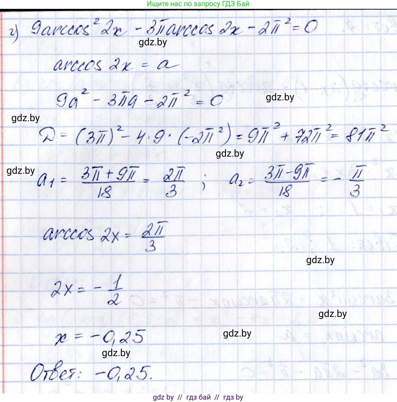
г) Исходное уравнение: $9\arccos^2(2x) - 3\pi\arccos(2x) - 2\pi^2 = 0$.

Это квадратное уравнение относительно $\arccos(2x)$. Введем замену: пусть $y = \arccos(2x)$. Область значений функции арккосинус — это отрезок $[0, \pi]$.

Уравнение после замены:
$9y^2 - 3\pi y - 2\pi^2 = 0$.
Решим его. Дискриминант $D = (-3\pi)^2 - 4 \cdot 9 \cdot (-2\pi^2) = 9\pi^2 + 72\pi^2 = 81\pi^2 = (9\pi)^2$.
$y_1 = \frac{3\pi + 9\pi}{18} = \frac{12\pi}{18} = \frac{2\pi}{3}$
$y_2 = \frac{3\pi - 9\pi}{18} = \frac{-6\pi}{18} = -\frac{\pi}{3}$

Проверим найденные значения $y$ на принадлежность отрезку $[0, \pi]$.
$y_1 = \frac{2\pi}{3}$ принадлежит отрезку $[0, \pi]$.
$y_2 = -\frac{\pi}{3}$ не принадлежит отрезку $[0, \pi]$.

Возвращаемся к исходной переменной с единственным подходящим корнем:
$\arccos(2x) = \frac{2\pi}{3}$
$2x = \cos(\frac{2\pi}{3}) = -\frac{1}{2}$
$x = -\frac{1}{4}$

Это значение удовлетворяет области определения арккосинуса, так как $2x = -1/2 \in [-1, 1]$.

Ответ: $-\frac{1}{4}$.

Помогло решение? Оставьте отзыв в комментариях ниже.

Присоединяйтесь к Телеграм-группе @gdz_by_belarus

Присоединиться

Мы подготовили для вас ответ c подробным объяснением домашего задания по алгебре за 10 класс, для упражнения номер 12.12 расположенного на странице 64 к сборнику задач 2020 года издания для учащихся школ и гимназий.

Теперь на нашем сайте ГДЗ.ТОП вы всегда легко и бесплатно найдёте условие с правильным ответом на вопрос «Как решить ДЗ» и «Как сделать» задание по алгебре к упражнению №12.12 (с. 64), авторов: Арефьева (Ирина Глебовна), Пирютко (Ольга Николаевна), базовый и повышенный уровень обучения учебного пособия издательства Народная асвета.