Номер 8, страница 91 - гдз по математике 9 класс сборник заданий для выпускного экзамена Беняш-Кривец, Цыбулько

Математика, 9 класс сборник заданий для выпускного экзамена, авторы: Беняш-Кривец Валерий Вацлавович, Цыбулько Оксана Евгеньевна, Пирютко Ольга Николаевна, Казаков Валерий Владимирович, издательство Академия образования, Минск, 2024

Авторы: Беняш-Кривец В. В., Цыбулько О. Е., Пирютко О. Н., Казаков В. В.

Тип: сборник заданий для выпускного экзамена

Издательство: Академия образования

Год издания: 2024 - 2026

ISBN: 978-985-33-0118-2

Допущено Министерством образования Республики Беларусь

за период обучения и воспитания на 2 ступени общего среднего образования

Вариант 43 - номер 8, страница 91.

№8 (с. 91)
Условие. №8 (с. 91)
Математика, 9 класс сборник заданий для выпускного экзамена, авторы: Беняш-Кривец Валерий Вацлавович, Цыбулько Оксана Евгеньевна, Пирютко Ольга Николаевна, Казаков Валерий Владимирович, издательство Академия образования, Минск, 2024, страница 91, номер 8, Условие
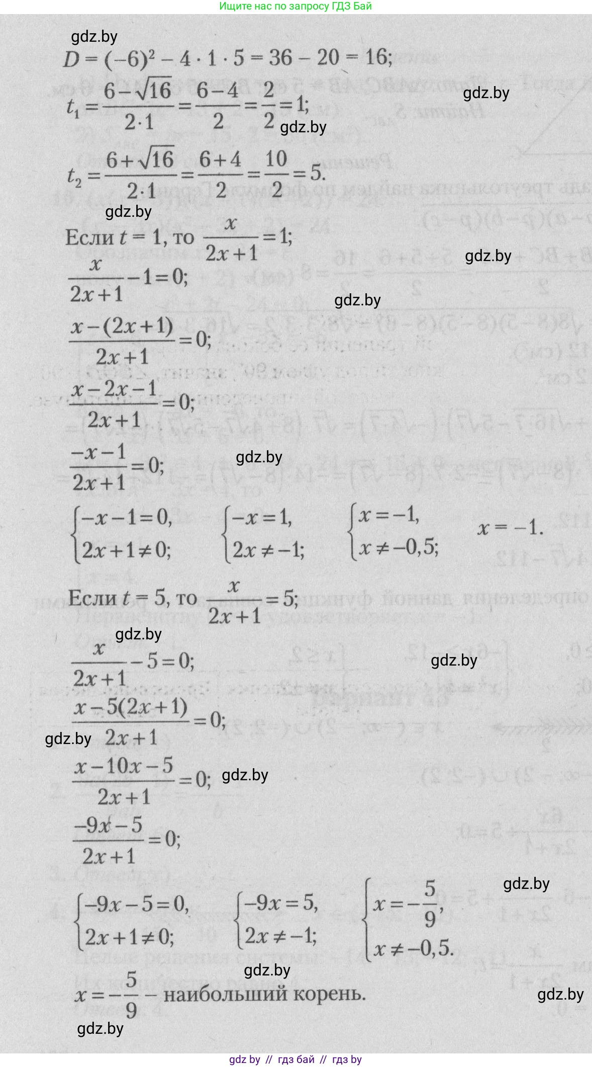
Решение 1 2026. №8 (с. 91)
Математика, 9 класс сборник заданий для выпускного экзамена, авторы: Беняш-Кривец Валерий Вацлавович, Цыбулько Оксана Евгеньевна, Пирютко Ольга Николаевна, Казаков Валерий Владимирович, издательство Академия образования, Минск, 2024, страница 91, номер 8, Решение 1 2026 Математика, 9 класс сборник заданий для выпускного экзамена, авторы: Беняш-Кривец Валерий Вацлавович, Цыбулько Оксана Евгеньевна, Пирютко Ольга Николаевна, Казаков Валерий Владимирович, издательство Академия образования, Минск, 2024, страница 91, номер 8, Решение 1 2026 (продолжение 2)

Помогло решение? Оставьте отзыв в комментариях ниже.

Присоединяйтесь к Телеграм-группе @gdz_by_belarus

Присоединиться

Мы подготовили для вас ответ c подробным объяснением домашего задания по математике за 9 класс, для упражнения номер 8 расположенного на странице 91 к сборник заданий для выпускного экзамена 2024 года издания для учащихся школ и гимназий.

Теперь на нашем сайте ГДЗ.ТОП вы всегда легко и бесплатно найдёте условие с правильным ответом на вопрос «Как решить ДЗ» и «Как сделать» задание по математике к упражнению №8 (с. 91), авторов: Беняш-Кривец (Валерий Вацлавович), Цыбулько (Оксана Евгеньевна), Пирютко (Ольга Николаевна), Казаков (Валерий Владимирович), учебного пособия издательства Академия образования.